Odovtos-International Journal of Dental Sciences (Odovtos-Int. J. Dent. Sc.) 27 (3), 2025 (Sep-Dec): 149-159. ISSN: 2215-3411
https://doi.org/10.15517/ijds.2025.65391

https://revistas.ucr.ac.cr/index.php/Odontos
CLINICAL RESEARCH:
Maxillofacial Fractures in a Hospital in the State of Chiapas, Mexico: Cross Sectional Study
Fracturas maxilofaciales en un hospital del estado de Chiapas, México: un estudio transversal
Juan Carlos Nájera-Ortiz¹ https://orcid.org/0000-0002-5673-0112
Juan José Hernández-Martínez2 https://orcid.org/0009-0001-4492-0912
Guadalupe Cartas-Fuentevilla3 https://orcid.org/0000-0002-5080-5195
¹Faculty of Dental Sciences and Public Health. Universidad de Ciencias y Artes de Chiapas. Chiapas, México.
2Master's student in public health and sustainability. Faculty of Dental Sciences and Public Health. Universidad de Ciencias y Artes de Chiapas. Chiapas, México.
3Faculty of Humanities and Social Sciences. Universidad de Ciencias y Artes de Chiapas. Chiapas, México.
Correspondence to: PhD. Guadalupe Cartas-Fuentevilla - guadalupe.cartas@unicach.mx
Received: 25-III-2025 Accepted: 22-V-2025
ABSTRACT: Fractures of the maxillofacial complex represent one of the most relevant health challenges at present, given their high incidence and cost to public health. In order to analyze the management of maxillofacial fractures treated in a public hospital in Chiapas, Mexico, during 2022, a cross-sectional study was carried out through interviews, clinical reviews, and records of patients treated with some type of maxillofacial fracture during the study period in the aforementioned hospital. The necessary information was obtained to meet the objectives. The main etiology was traffic accidents (65.9%). The main affected area was the lower third of the face (65.9%). A statistical association was found between the imaging study used, fracture treatment, specialist intervention, and type of patient management with the anatomical area of the fracture. Therefore, the epidemiological characteristics found were similar to those reported in the international literature. The management given to the fractures was according to their location.
KEY WORDS: Community health indicators; Maxillofacial fractures; Public health case management; Epidemiology; Mexico.
RESUMEN: Las fracturas del complejo maxilofacial representan uno de los desafíos sanitarios más relevantes en la actualidad, dada su elevada incidencia y costo que representa para la salud pública. Para analizar el manejo de las fracturas maxilofaciales atendidas en un hospital público de Chiapas, México durante 2022, se llevó a cabo un estudio con diseño transversal donde por medio de entrevistas, revisión clínica y de expedientes de pacientes atendidos con algún tipo de fractura maxilofacial durante el periodo de estudio en el citado hospital, se obtuvo la información necesaria para cumplir con los objetivos. Se captó a 44 pacientes, el 84.1% del sexo masculino, el 38.6% tenía entre 20 y 29 años de edad, la etiología principal fueron los accidentes de tránsito (65.9%), la principal zona afectada fue el tercio inferior del rostro (65.9%). Se encontró asociación estadística entre el estudio imagenológico utilizado, tratamiento de la fractura, la intervención de especialistas y el tipo de manejo del paciente con la zona anatómica de la fractura. Por lo que, las características epidemiológicas encontradas fueron similares a las reportadas en la literatura internacional. El manejo dado a las fracturas se dio de acuerdo a su localización.
PALABRAS CLAVE: Indicadores de salud comunitaria; Fracturas maxilofaciales; Manejo de caso salud pública; Epidemiologia; México.
Copyright (c) 2025 Juan Carlos Nájera-Ortiz,
Juan José Hernández-Martínez, Guadalupe Cartas-Fuentevilla.
Odovtos -Int J Dent Sc endoses to CC-BY-NC-SA 4.0.
INTRODUCTION
Among the multiple injuries in the maxillofacial region, emergency departments worldwide report trauma as one of the most common injuries that request attention, which can produce various patterns of fractures, occurring alone or in conjunction with other injuries. Fractures are considered traumatic bone conditions, usually caused by external elements whose intensity exceeds the elasticity limits of the bone structure (1). Maxillofacial trauma refers to all injuries of traumatic origin that impact the facial mass, which is composed of the upper, middle and lower thirds of the face. These injuries include the involvement of the bony and soft tissues of the face and the dental alveolar structures, defined by the alveolar bone, dental components, gingival tissues and buccal mucosa (2).
The epidemiology of these injuries is contextualized according to the population density and geographic area of the place, as well as the socioeconomic level of those who present them (3). In turn, studies developed on this subject in different countries have reported that among the most common reasons for these traumatic injuries are road or automobile accidents (4,5), other authors have reported aspects such as sports (6,7), aggressions (8,9) or falls, the latter mainly in the pediatric population group (10,11). Similarly, it has been shown that alcohol abuse (12,13) contributes significantly to the presence of maxillofacial fractures.
Currently, maxillofacial trauma is a global public health issue due to its high incidence, severity and complexity. These injuries are frequently associated with a high rate of morbidity, loss of function, and high esthetic, social and economic costs for their treatment (13,14). In fact, the economic and social repercussions of maxillofacial trauma victims on the health system and the social protection system have generated concern in current research (15).
The approach to maxillary fractures is complex and demands an integral perception of the damage suffered by other systems of the injured person. Therefore, an exhaustive evaluation is necessary that goes beyond the initial classification, which is fundamental to guide the clinical and surgical management (16,17), ensuring personalized and effective care for each patient, in addition to the technical approach, the management of maxillary fractures also involves esthetic and functional considerations (18).
Thus, because facial trauma has a significant impact on the patient's life and on the health service in charge of treating them, there is some research that analyzes the etiology, patterns and management of these traumas in Mexico, in fact, this work is the first to be carried out in the state of Chiapas, for these reasons, the objective of this study was to determine the frequency and clinical characteristics of maxillofacial fractures and patients attended in the oral and maxillofacial surgery service of the general hospital "Dr. Jesús Gilberto Gómez Maza" general hospital in the city of Tuxtla Gutiérrez, Chiapas, Mexico, during 2022.
METHODS
STUDY DESIGN
A cross-sectional epidemiological design was used, which included patients attended in the oral and maxillofacial surgery service of a hospital in the state of Chiapas, Mexico.
PARTICIPANTS
The participants of the study were all the people who attended or were referred for some type of maxillary fracture to the oral and maxillofacial surgery service of the General Hospital Dr. Jesús Gilberto Gómez Maza, located in the city of Tuxtla Gutiérrez, Chiapas, Mexico during the period from August to December 2022, who were also available to approve their participation and, if necessary, provide the information requested by the work team. Patients who were admitted with maxillofacial trauma but without fractures were excluded, as well as patients with maxillofacial fracture whose clinical history was incomplete and/or illegible.
DATA COLLECTION
A questionnaire was prepared to collect the necessary information to meet the objectives of the study, which, after authorization by the participant through an informed consent, was applied to each of them, to collect information related to socioeconomic variables, complemented with the review of clinical records, clinical and imaging assessment of the patient, providing information on clinical variables, etiological cause, classification, clinical approach and identification of the most common fracture site. This procedure was performed under the supervision of the oral and maxillofacial surgeon.
STATISTICAL ANALYSIS
For the analysis of the information, a database was created in the SPSS 25.0 statistical program, where all the information collected in the aforementioned instrument was entered. For the univariate analysis, frequencies were calculated for the categorical variables, as well as the mean and standard deviation for the age variable. Crosses were made to determine the potential association between the fracture area and the variables of interest, tests of independence were carried out using the Chi-square statistic, considering 0.05 as the degree of statistical significance.
ETHICS AND INFORMATION
This study was approved by the Hospital Research and Ethics Committee, and all procedures complied with the Helsinki recommendations for biomedical research of the World Medical Association (19) and with the Mexican General Health Law (20).
RESULTS
SOCIODEMOGRAPHIC CHARACTERISTICS OF PATIENTS
During the period from August to December 2022, a total of 44 patients met the inclusion criteria, 84.1% of whom were male. The age of these patients was between 10 and 72 years, with an average age of 29.72 years, 38.6% were between 20 and 29 years of age, 63.3% were employed, 40.9% had at least a high school education, more than half were in some type of union (59.1%), and only 11.4% stated that they lived in the hospital's host city (Table 1).
FRACTURE CHARACTERISTICS
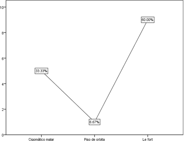
All the fractures reported were of the simple type (n=44), of which 65.9% were in the lower third and the rest (34.1%) in the middle third of the face. The main cause was traffic accidents (65.9%) (Table 2), with those of the parasymphysis type (n=29) presenting the highest proportion (34.5%) of this group (Figure 1). In contrast to thefractures of the middle third (n=15), Lefort type fractures predominated (60%) (Figure 2), with Le Fort ll with 6 cases, the rest, Le Fort I, Le Fort III and Le Fort ll + Le Fort lll, with one case each. No statistically significant differences were found between the frequency of the etiological cause in relation to the anatomical area of the fracture (Table 2).
Table 1. Sociodemographic characteristics of the population studied.
|
Variable |
Categories |
n |
% |
|
Sex |
Male |
37 |
84.1 |
|
Female |
7 |
15.9 |
|
|
Age groups |
10-29 years |
26 |
59.1 |
|
30-49 years |
13 |
29.5 |
|
|
50 and over |
5 |
11.4 |
|
|
Employment status |
Student |
10 |
22.7 |
|
With employment |
28 |
63.6 |
|
|
Unemployment |
6 |
13.6 |
|
|
Schooling |
Primary |
11 |
25.0 |
|
Secondary |
11 |
25.0 |
|
|
High School |
18 |
40.9 |
|
|
Bachelor´s Degree |
4 |
9.1 |
Table 2. Etiological cause according to the anatomical area of the fracture.
|
Etiological cause of fracture |
Middle third of the face n(%) |
Lower third of the face n(%) |
p value |
|
Traffic accidents (n=29; 65.9%) |
11 (37.9) |
18 (62.1) |
|
|
Falls (n=7; 15.9%) |
1 (14.3) |
6 (85.7) |
|
|
Violence (n=6; 13.6%) |
3 (50.0) |
3 (50.0) |
0.373 |
|
Occupational and sports accidents (n=2; 4.5%) |
0 (0.0) |
2 (100) |

Figure 1. Classification of fractures of the lower third of the body.

Figure 2. Classification of middle third fractures.
APPROACH TO FRACTURES
Of all the patients included in the present study (n=44), 24 persons (54.5%) presented 2 or more maxillofacial fractures, the most frequently used imaging study for the diagnosis of these fractures was computed tomography with 3D reconstruction (65.9%), the most frequent treatment was closed reduction (63.6%), using bar arches, elastic traction or wire locks, according to each case. It is worth noting that in the case of open reduction treatments, mini-plate 2.0 systems or sliding screws were used for fixation. In the case of specialist intervention, this situation was present in 81.8% of the cases and in 75% the hospital type management was chosen (Table 3).
In relation to these variables, according to the anatomical area of the fracture, it was found that, exclusively in fractures of the lower third, panoramic radiography resources were used for diagnostic support (p=0.000) and no specialists were involved in their management (p=0.024), and almost entirely, management with closed reduction (p=0.000) and outpatient type (p=0.000) was presented for this same type of fractures (Table 3).
Table 3. Approach according to anatomical area of the fractures studied.
|
Middle third of the face n (%) |
Lower third of the face n (%) |
p value |
||
|
Number of fractures. |
One (n=20; 45.5%) |
6 (30.0) |
14 (70.0) |
0.421 |
|
Two or more (n=24; 54.5%) |
9 (37.5) |
15 (62.5) |
||
|
Imagining study used |
3D reconstruction (n=29; 65.9%) |
15 (51.7) |
14 (48.3) |
0.000 |
|
Panoramic radiography (n=15; 34.1%) |
0 (0.0) |
15 (100) |
||
|
Fracture treatment |
Conservative (n=6; 13.6%) |
4 (66.7) |
2 (33.3) |
|
|
Open reduction (n=10; 22.7%) |
10 (100) |
0 (0.0) |
0.000 |
|
|
Closed reduction (n=28; 63.6%) |
1 (3.6) |
27 (96.4) |
||
|
Intervention of specialist |
Yes (n=36; 81.8%) |
15 (41.7) |
21 (58.3) |
0.024 |
|
No (n=8; 18.2%) |
0 (0.0) |
8 (100) |
||
|
Patient management |
Ambulatory (n=11; 25%) |
1 (9.1) |
10 (90.9) |
0.044 |
|
Hospital (n=33; 75%) |
19 (57.6) |
DISCUSSION
Currently, the prevalence of maxillofacial fractures has experienced a significant increase, most likely due to the increase in the pace of social and working life of the population. Therefore, several epidemiological investigations have been carried out to identify the predominant sex, age range, anatomical site of greatest incidence, cause and treatment of these fractures.
In the case of sex, as reported in the present study, it has been documented that it is the males who present this type of traumatism more frequently (5, 21-23). In addition to this situation and according to Leite-Cavalcanti et al. (24), most of the international literature indicates that maxillofacial traumatism is more frequent in the third decade of life (24), coinciding with the average age found among the population of our study (X̅ = 29.72 years), and to what is reported in other studies, such as the one developed in Bogotá, Colombia, where Pedraza et al. 2020(25), reports an average age of 32.3 years among the participating patients, similarly Cruz-Correa et al. (21), in their study developed with patients from a public hospital in Mexico City, found an average age of 24 years. In summary, and relating the sex and age variables mentioned above, it can be interpreted in the context that both describe a pattern, where this population group develops activities in more risky environments, they are more likely to consume alcohol and drive under its effects, in addition to being more likely to be involved in acts of violence and participate in dangerous exercises and sports.
Regarding the management of fractures, imaging examinations are necessary as diagnostic support, since hematomas and the inflammatory process have the capacity to hide the extent of the underlying lesion. For the present study, although panoramic radiographic resources were used, which were very useful for the diagnosis of fractures of the lower third of the face, in general, a large proportion of 3D reconstruction was used. The use of digital technology has allowed a better visualization of the structures affected in this type of fractures, helping significantly to precise the diagnosis and to plan reconstructive therapies in orthopedics and maxillofacial surgery (26), This was evidenced by the fact that a large proportion of treatments (conservative and closed reduction) did not require surgical intervention, which become an option for circumstances where occlusion could not be reestablished, when the condyle segment was moved to the medial cranial fossa or when there is a foreign body, as was the case in 22.7% of the cases.7% of the cases.
Regarding the etiology of fractures, our results are consistent with studies of a similar nature carried out in developing countries, where they reported traffic accidents and interpersonal violence as the main causes (3,27,28). This could be explained by the presence of elements such as the impact of alcohol consumption, speeding, vehicle saturation, lack of signaling on certain routes, deteriorated roads, poor lighting, and the number of motorcycles in these countries.
When comparing the type of fractures, our study reported that most occurred in the lower third of the face (66%), in agreement with what has been published internationally in various studies. For example, Raposo et al. in Chile (23), as well as Lee et al. (29) in Malaysia and Pham-Dang et al. in France (30) reported that mandibular fractures, specifically parasymphyseal fractures, were the most frequent. In relation to this, fractures of the lower third are among the most common in patients with facial trauma; due to the fact that the mandible is the largest bone of the facial complex, so its correct management and restoration can be the fundamental pillar to recover normal facial contour and projection, in addition to ensuring correct occlusion, mastication, phonation and digestion.
For their part, the rest of the fractures presented (34%) corresponded to those of the middle third, predominantly of the Le Fort type, according to what Navarro (2018) (31) mentions, fractures in the facial middle third constitute a serious medical problem due to their complexity, frequency and socioeconomic influence. Diagnostic and surgical techniques, together with interdisciplinary approaches, offer positive results in most situations, which also became evident before the elements of management of this type of fractures, according to the results presented with the statistical association test for this type of fractures.
CONCLUSIONS
The results obtained in this study allow us to identify that the behavior of maxillofacial trauma in the oral and maxillofacial surgery service of the General Hospital Dr. Jesús Gilberto Gómez Maza, located in the city of Tuxtla Gutiérrez, Chiapas, Mexico, shows that this type of fractures is predominant in middle-aged men and the main etiology was traffic accidents, and that the main affected area was the lower third of the face (65.9%).
Therefore, and given the characteristics of the fractures reported in the present study, the approach to maxillofacial fractures requires a detailed understanding of the classification, meticulous assessment of the extent and severity of the fracture and the implementation of customized treatment techniques. Collaboration between maxillofacial surgeons, orthodontists and other health experts is essential to ensure the best results and full recovery of function and facial aesthetic details. Thus, ultimately, a multidisciplinary approach and management and the implementation of modern methods are essential to constantly refine medical practices and improve outcomes for patients with maxillary fractures.
CONFLICT OF INTEREST
No conflict of interest.
FUNDING
This research did not receive grants.
AUTHOR CONTRIBUTION STATEMENT
Conceptualization and design: J.C.N.O. and J.J.H.M.
Literature review: J.C.N.O., J.J.H.M. and G.C.F.
Methodology and validation: J.C.N.O. and G.C.F.
Formal analysis: J.C.N.O. and G.C.F.
Investigation and data collection: J.C.N.O. and J.J.H.M.
Resources: J.C.N.O., J.J.H.M. and G.C.F.
Data analysis and interpretation: J.C.N.O. and G.C.F.
Writing-review and editing: J.C.N.O. and G.C.F.
Supervision: J.C.N.O.
Project administration: J.C.N.O. and G.C.F.
REFERENCES
1. Domínguez-Gasca L.G., Orozco-Villaseñor S.L. Frecuencia y tipos de fracturas clasificadas por la Asociación para el Estudio de la Osteosíntesis en el Hospital General de León durante un año. Acta méd. Grupo Ángeles 2017; 15 (4): 275-286 Available at: https://www.scielo.org.mx/pdf/amga/v15n4/1870-7203-amga-15-04-275.pdf
2. Mardones M., Fernández M.A., Bravo R., Pedemonte C., Ulloa C. Traumatología máxilo facial: diagnóstico y tratamiento. Rev. Med. Clin. Condes 2011; 22 (5): 607-616. https://dx.doi.org/10.1016/S0716-8640(11)70472-2
3. Chiacchio M., Saravia S., Almada T., Rossi J., Chiacchio M., Santucho F., et al. Manejo de las fracturas maxilofaciales y sus complicaciones. Rev Argent Cir. 2022; 114 (3). 114 (3): 205-213. https://dx.doi.org/10.25132/raac.v114.n3.1663
4. Agudelo-Suárez A.A., Duque-Serna F.L. Restrepo-Molina L., Martínez-Herrera E. Epidemiología de las fracturas maxilofaciales por accidente de tráfico en Medellín (Colombia). Gac Sanit. 2015; 29 (S1): 30-35. https://doi.org/10.1016/j.gaceta.2015.04.007
5. Gonzalez E., Pedemonte C., Vargas I., Lazo D., Pérez H., Canales M., et al. Fracturas faciales en un centro de referencia de traumatismos nivel i. Estudio descriptivo. Rev Esp Cirug Oral y Maxilofac 2015; 37 (2). https://dx.doi.org/10.1016/j.maxilo.2013.09.002
6. de Pablo-Màrquez B., Valls-Ontañón A., Rodas-Font G. Fracturas mandibulares: manejo en deportistas. Apunts Medicina de l’Esport. 2017; 52 (195). https://doi.org/10.1016/j.apunts.2016.07.002
7. Tomàs-Aliberas J., Casas O., Sotorra-Figuerola D., Felipe-Spada N. Evaluación de las Lesiones Orofaciales y Traumatismos Dentales en Deportes de Combate y no Combate. Int. J. Odontostomat. 2023; 17 (4): 484-491.http://dx.doi.org/10.4067/S0718-381X2023000400484
8. González Valdez L.G., Martín Toranzo Fernández J., Noyola Frías M.Á., de Jesús Pozos Guillén A. Incidencia de lesiones cervicales asociadas a fracturas mandibulares aisladas causadas por agresión física. Rev Esp Cir Oral Maxilofac. 2013; 35 (3): 101-106 https://dx.doi.org/10.1016/j.maxilo.2012.05.002
9. Díaz Fernández J.M., Caballero J. Perfil lesional bucocervicofacial por agresión contra la mujer MEDISAN 2010; 15 (1): 33-43 Available at: http://scielo.sld.cu/scielo.php?script=sci_arttext&pid=S1029-30192011000100005
10. Rubio García E., Jiménez de Domingo A., Marañon Pardillo R., Triviño Rodríguez M., Frontado Haiek L.A., Gilabert Iriondo N., et al. Caídas en menores de un año: ¿qué hacemos en urgencias? An Pediatr (Engl Ed). 2017; 87 (5). https://doi.org/10.1016/j.anpedi.2016.10.003
11. Molise C., Stach P., Fiorentino J.A., Caorsi N., Solla M., Hoffman E., et al. Trauma por caída de altura en niños que requirieron hospitalización. Rev. Hosp. Niños (B. Aires) 2019; 61 (273): 68-76 . Available at: http://revistapediatria.com.ar/wp-content/uploads/2019/07/273-02_AO.Molise.Trauma.pdf
12. Corrales-Reyes I.E., Morales-Navarro D., Núñez-Blanco A.E., Mejia C.R. Alcohol consumption and maxillofacial fractures in times of Covid-19: a cross-sectional study in a Cuban University Hospital. J Oral Res.2022; 11 (6): 1-13 https://doi.org/10.17126/joralres.2022.065
13. Hino S., Yamada M., Iijima Y., Araki R., Kaneko T., Horie N. Effects of alcohol consumption on maxillofacial fractures in simple falls. Clin Exp Dent Res. 2020; 6 (5): 544-549. https://doi.org/10.1002/cre2.308
14. Forman, M.S., Chen, J.X., Friedman, J.M., Aziz, S.R. (2022). Midface Trauma. In: Ferneini, E.M., Goupil, M.T., Halepas, S. (eds) The History of Maxillofacial Surgery. Springer, Cham. https://doi.org/10.1007/978-3-030-89563-1_11
15. Țenț P.A., Juncar R.I., Juncar M. Clinical patterns and characteristics of midfacial fractures in western romanian population: A 10-year retrospective study. Med Oral Patol Oral Cir Bucal. 2019; 24 (6). https://doi.org/10.4317/medoral.23153
16. González-Ordoñez T.V., Rodríguez-Largo A.A., Flores-Oña C.A., Caiza-Iza F.O., Morante-Ruiz E.D. Revisión del Abordaje Odontológico de las Fracturas Maxilomandibulares. Ciencia Latina 2024; 7 (6): 7495-7506 https://doi.org/ 10.37811/cl_rcm.v7i6.9290
17. Chiacchio M., Saravia S., Almada T., Rossi J., Chiacchio M., Santucho F., et al. Manejo de las fracturas maxilofaciales y sus complicaciones. Rev Argent Cir. 2022; 114 (3). https://dx.doi.org/10.25132/raac.v114.n3.1663
18. Patil S.G., Munnangi A., Joshi U.K., Thakur N., Allurkar S., Patil B.S. Associated Injuries in Maxillofacial Trauma: A Study in a Tertiary Hospital in South India. J Maxillofac Oral Surg. 2018; 17 (4). https://dx.doi.org/10.1007/s12663-017-0998-7
19. Dal-Ré R., Delgado M., Bolumar F. El registro de los estudios observacionales: es el momento de cumplir el requerimiento de la Declaración de Helsinki. Gac Sanit. 2015; 29 (3). http://dx.doi.org/10.1016/j.gaceta.2014.10.006
20. Cámara de Diputados del H. Congreso de la Unión. Reglamento de la Ley General de Salud. Dof. 2022; Available at:: https://salud.gob.mx/unidades/cdi/nom/compi/rlgsmis.html
21. Cruz-Correa C.A., Salgado-Chavarría F., Téliz Meneses M.A., Castillo-Ham G., Padilla Reyes J.C. Análisis de fracturas de tercio inferior facial en el Hospital General Balbuena durante el periodo 2017-2019. Rev Odont Mex. 2021; 25 (1): 54-58. https://doi.org/10.22201/fo.1870199xp.2021.25.1.82271
22. Espinosa L., Faúndez C., Sandoval C., Tirado S., Roa I. Lesiones Oro-maxilofaciales en el Servicio Médico Legal de Curicó, Chile: Estudio descriptivo. Int. J. Odontostomat., 13 (4): 379-384, 2019. http://dx.doi.org/10.4067/S0718-381X2019000400379
23. Raposo A., Nuñez C., Quezada G., Quezada L., Carraso A. Estudio Descriptivo de las Cirugías y Hospitalizaciones en Cirugía Maxilofacial Durante la Pandemia en Chile. Experiencia del Hospital Barros Luco Trudeau. Int. J. Odontostomat., 15 (1): 71-76, 2021. http://dx.doi.org/10.4067/S0718-381X2021000100071
24. Leite-Cavalcanti A., Medeiros-Bezerra P.K., Moraes de Oliveira D., Granville-Garcia A.F. Maxillofacial injuries and dental trauma in patients aged 19-80 years, Recife, Brazil. Revista Española de Cirugía Oral y Maxilofacial. 2010; 32 (1): 11-16 http://dx.doi.org/10.1016/S1130-0558(10)70026-5
25. Pedraza R., Borja J.C., Bermejo Neira J., Prieto K., Orozco P. Fracturas mandibulares en el servicio de otorrinolaringología y cirugía maxilofacial: experiencia en las características clínicas, diagnósticas y de tratamiento en el Hospital San José. Acta de Otorrinolaringología CCC 2020; 47 (4): 2213–221 http://dx.doi.org/10.37076/acorl.v47i4.46292-
26. Soto-Galaz R., Astudillo-Ramírez M., Bravo-Ahumada R., Gunckel-Muñoz R. Reconstrucción de Fracturas Orbitarias Utilizando Tecnología Digital Tridimensional: Una forma de Ooptimizar resultados. Int. J. Odontostomat., 15 (3): 782-787, 2021. http://dx.doi.org/10.4067/S0718-381X2021000300782
27. Al-Qahtani F., Bishawi K., Jaber M., Thomas S. Maxillofacial trauma in the gulf countries: a systematic review. Eur J Trauma Emerg Surg 2021. 47 (2): 397-406. http://dx.doi.org/10.1007/s00068-020-01417-x
28. Conceição L.D., da Silveira I.A., Nascimento G.G., Lund R.G., da Silva R.H.A., Leite F.R.M. Epidemiology and Risk Factors of Maxillofacial Injuries in Brazil, a 5-year Retrospective Study. J Maxillofac Oral Surg. 2018; 17 (2). http://dx.doi.org/10.1007/s12663-016-0994-3
29. Lee C., Foo Q., Wong L., Leung Y. An Overview of Maxillofacial Trauma in Oral and Maxillofacial Tertiary Trauma Centre, Queen Elizabeth Hospital, Kota Kinabalu, Sabah. Craniomaxillofac Trauma Reconstr. 2017; 10 (1). http://dx.doi.org/10.1055/s-0036-1584893
30. Pérez Gutiérrez H., Tomás ;, Hofer D., Mardones Muñoz M., Bravo Ahumada R., Pérez G.H. Epidemiology of Maxillofacial Surgical Treatments in a Public Hospital in Chile: A 5-Year Retrospective Study. Int J Odontostomat. 2015; 9 (1): 37-41. http://dx.doi.org/10.4067/S0718-381X2015000100006
31. Navarro D.M. Fracturas del tercio medio facial. Rev. cuba. Estomatol 2018 ; 55(1): 42-58. Available at: https://revestomatologia.sld.cu/index.php/est/article/view/1388/608