Agronomía Costarricense 49 (2025) 317

Nota técnica
Agrohomeopatía como alternativa para el control de Plasmodiophora brassicae en Brasicáceas bajo condiciones de invernadero
Daniela Rodríguez-García1/*, Marena Chavarría-Vega2, Jorge Claudio Vargas-Rojas3
*Autora para correspondencia. Correo electrónico: daniela.rodriguez@ucr.ac.cr
1Universidad de
Costa Rica, Laboratorio de Microbiología Agrícola, Área de Control Biológico,
Centro de Investigaciones Agronómicas. San José, Costa Rica.
https://orcid.org/0000-0003-0541-2488
2Universidad de
Costa Rica, Laboratorio de Microbiología Agrícola, Área de Control Biológico, Centro
de Investigaciones Agronómicas. San José, Costa Rica.
https://orcid.org/0000-0003-0128-6007
3Universidad
de Costa Rica, Sede de Guanacaste. Liberia,
Guanacaste, Costa Rica.
https://orcid.org/0000-0002-1139-2148
DOI: https://doi.org/10.15517/mpk3jk32
Recibido el 12 de noviembre del 2024; Aceptado el 01 de abril del 2025
Resumen
Introducción. Las hortalizas del género Brassica (como el brócoli y el repollo) son afectadas por Plasmodiophora brassicae, un patógeno que causa la enfermedad conocida como hernia de las crucíferas. La agrohomeopatía ha demostrado efectos positivos en el crecimiento de algunas plantas y el combate de enfermedades. Objetivo. Evaluar el uso de tratamientos agrohomeopáticos, específicamente fitonosodes, para combatir la hernia de las crucíferas causada por Plasmodiophora brassicae en coliflor y repollo. Materiales y métodos. Los ensayos se realizaron en invernadero con suelos estériles y no estériles, aplicando fitonosodes (Fitonosodes) y agua sucusionada (Agua). Se evaluaron la longitud foliar y de raíz, la biomasa fresca y seca, y la severidad de la enfermedad. Resultados. En coliflor, el tratamiento Agua_2 en suelo no estéril alcanzó la mayor longitud de raíz (139 cm), mientras que el tratamiento Fitonosode_5 en suelo estéril produjo plantas con la mayor altura foliar (353 cm). En suelo no estéril, no se encontraron diferencias significativas entre los tratamientos para ambas variables. En repollo, el tratamiento Agua_2 en suelo no estéril obtuvo la mejor longitud de raíz (139 cm), y en suelo estéril, los tratamientos Agua_2 y Fitonosode_5 lograron las mayores alturas foliares, con 335 cm y 305 cm, respectivamente. En suelo no estéril, Agua_2 alcanzó 227 cm de altura foliar, superando significativamente a otros tratamientos. En términos de severidad de la enfermedad, el tratamiento Fitonosode_5 redujo considerablemente la incidencia, manteniendo más del 80% de las coliflores y el 90% de los repollos en categorías bajas de severidad, lo que indica una mejora en el estado de salud de las plantas. Conclusión. Estos hallazgos sugieren que la agrohomeopatía (particularmente los fitonosodes), podría ser una alternativa eficaz y prometedora para el control de P. brassicae, contribuyendo a un mejor desarrollo fisiológico y estructural de los cultivos.
Palabras clave: Métodos agrohomeopáticos; nosode; sucusión; Plasmodiophora brassicae Woronin; dilución Centesimal Hahnemanniana (CH).
Technical note
Abstract
Agrohomeopathy as an alternative for the control of Plasmodiophora brassicae in Brassicaceae under greenhouse conditions
Introduction. Horticultural crops within the Brassica genus (such as broccoli and cabbage) are affected by Plasmodiophora brassicae, a pathogen that causes the disease known as clubroot. Agrohomeopathy has shown positive effects on plant growth and disease control in some cases. Objective. The study evaluated the use of agrohomeopathic treatments, specifically fitonosodes, to combat clubroot disease caused by Plasmodiophora brassicae in cauliflower and cabbage. Materials and methods. The experiments were conducted in a greenhouse using both sterile and non-sterile soils, applying fitonosodes and succussed water. The variables assessed included leaf and root length, fresh and dry biomass, and disease severity. Results. In cauliflower, the Water_2 treatment in non-sterile soil achieved the greatest root length (139 cm), while treatment Fitonosode_5 in sterile soil produced plants with the highest leaf length (353 cm). In non-sterile soil, no significant differences were found between treatments for either variable. In cabbage, Water_2 in non-sterile soil also showed the best root length (139 cm), and in sterile soil, Water_2 and Fitonosode_5 achieved the greatest leaf heights, with 335 cm and 305 cm, respectively. In non-sterile soil, Water_2 reached 227 cm in leaf height, significantly outperforming other treatments. Regarding disease severity, Fitonosode_5 significantly reduced the incidence, maintaining over 80% of cauliflower and 90% of cabbage in low severity categories, indicating improved plant health. Conclusions. These findings suggest that agrohomeopathy (particularly the fitonosodes), could be an effective and promising alternative for controlling P. brassicae, contributing to improved physiological and structural development of crops.
Keywords: Agrohomeopathic methods; nosode; succussion; Plasmodiophora brassicae Woronin; Centesimal Hahnemannian dilution (CH).
Introducción
El género Brassica es un grupo de plantas frondosas de gran importancia agronómica, ampliamente cultivadas a nivel mundial. Entre sus especies más representativas se encuentran el brócoli, la coliflor, la col china, el repollo y la mostaza negra, las cuales son esenciales en la producción agrícola y en la alimentación humana (Suwabe et al. 2006). Sin embargo, el rendimiento de estos cultivos puede verse gravemente afectado por Plasmodiophora brassicae, un organismo que causa la enfermedad conocida como hernia de las crucíferas. Este patógeno ha sido reportado como capaz de infectar casi todos los 330 géneros y 3,700 especies de la familia Brassicaceae, lo que constituye un problema fitosanitario de gran importancia. La infección por P. brassicae ocurre a través de las raíces, donde provoca la formación de agallas o hernias que contienen las estructuras reproductivas del patógeno. A medida que estas estructuras maduran, adquieren una coloración marrón, y posterior a la cosecha pueden permaner en el suelo con capacidad infecciosa por más de 18 años (Wallenhammar et al. 2000). Debido a que P. brassicae es un parásito obligado, depende completamente de su huésped para su nutrición, acumulando almidón y azúcares en las agallas (Keen y Williams 1969). En adición, su desarrollo está regulado por reguladores de crecimiento vegetal como las auxinas y citoquininas, las cuales influyen en la aparición de síntomas característicos, afectan el crecimiento de la parte aérea de la planta, provocan enanismo y disminuyen el rendimiento del cultivo (Siemens et al. 2011). Se estima que la hernia de las crucíferas reduce la producción mundial en aproximadamente un 15% y que la enfermedad está presente en más de 60 países (Dixon 2014).
El manejo de P. brassicae es particularmente difícil, debido a su ciclo de vida de dos fases y su persistencia en el suelo (Ludwig-Müller y Schuller 2007). Su ciclo de infección se divide en una fase primaria, en la que las esporas germinan en la rizosfera e infectan los pelos radicales, y una fase secundaria, caracterizada por la proliferación del patógeno en la corteza radicular, formando las típicas agallas (Ingram y Tommerup 1972). Para controlar la enfermedad, se han propuesto diversas estrategias, tales como el desarrollo de variedades resistentes (Rocherieux et al. 2004), la regulación de la nutrición del suelo (Murakami et al. 2000), el encalado y ajuste del pH del suelo (Niwa et al. 2007, Tremblay et al. 2005), así como la aplicación de compuestos químicos como la cianamida cálcica (Donald et al. 2006) y productos fosfonatos (Abbasi y Lazarovits 2006). También, se han explorado estrategias hormonales para regular la interacción planta-patógeno, como el uso de citoquininas (Siemens et al. 2006). No obstante, muchas de estas técnicas han demostrado ser insuficientes para un manejo fitosanitario eficaz (Murakami et al. 2002), por lo que se han comenzado a investigar alternativas biológicas como el uso de hongos endófitos, entre ellos, Acremonium alternatum, que han mostrado potencial para la supresión de la enfermedad (Jaschke et al. 2010).
En este contexto, la homeopatía, un sistema terapéutico desarrollado por Samuel Hahnemann a finales del siglo XVIII, ha cobrado interés en la agricultura a través de la agrohomeopatía (Betti et al. 2009, Majewsky et al. 2009). La homeopatía se basa en tres principios fundamentales. Primero, el principio de similitud (similia similibus curantur), según el cual una sustancia que provoca síntomas en un organismo sano puede utilizarse en dosis ultra diluidas, para tratar esos mismos síntomas en un organismo enfermo. Segundo, la dilución extrema y potenciación, donde los medicamentos se elaboran mediante un proceso específico que comienza con una tintura madre. A partir de esta, se realizan diluciones seriadas y tras cada dilución, se lleva a cabo un paso fundamental llamado sucusión. La sucusión consiste en agitar vigorosamente el frasco (tradicionalmente con 100 golpes rítmicos sobre una superficie sólida) con el objetivo de dinamizar la solución, es decir, potenciar sus propiedades terapéuticas según la visión homeopática. En la actualidad, la mayoría de los laboratorios emplea equipos automatizados llamados dinamizadores para estandarizar este proceso. Finalmente, la teoría miasmática, que postula que muchas enfermedades crónicas tienen su origen en alteraciones profundas de la fuerza vital del individuo (Ernst 2016). Aunque la homeopatía ha sido ampliamente utilizada en la medicina alternativa, su mecanismo de acción aún es objeto de debate dentro de la comunidad científica.
Uno de los métodos más empleados en homeopatía es la dilución Centesimal Hahnemanniana (CH), en la cual una sustancia base, denominada tintura madre, se diluye en una proporción de 1:100 con un diluyente, como agua o alcohol, y se agita vigorosamente en un proceso denominado sucusión. Este procedimiento se repite múltiples veces y produce diluciones identificadas como C1, C2, C3... Cn. Por ejemplo, una dilución 30 CH implica que la sustancia original ha sido diluida y agitada 30 veces, lo que alcanza concentraciones extremadamente bajas, en las que es improbable que quede una molécula del compuesto inicial (Ernst 2016). En la actualidad, la agrohomeopatía ha surgido como una alternativa en la producción agrícola sostenible, aplicando principios homeopáticos para el control de enfermedades, plagas y la conservación del suelo (Meneses 2017). Dentro de los tratamientos homeopáticos destacan los nosodes, cuyo término proviene del griego nosos (enfermedad), y que se elaboran a partir de tejidos enfermos, secreciones patológicas o microorganismos patógenos sometidos a procesos de dilución centesimal o dinamización. Estos se clasifican en nosodes específicos de enfermedad y nosodes etiológicos, dependiendo de su origen y aplicación (Shah-Rossi et al. 2009, Vieracker 2015).
Diferentes estudios han evaluado la eficacia de tratamientos homeopáticos en cultivos agrícolas. Bonato et al. (2009) analizaron el impacto de Arsenicum album y Sulfur en el crecimiento y contenido de aceite esencial de plantas de menta, observando un aumento en la biomasa fresca y seca con el tratamiento de Sulphur, así como una mejora en la altura de la planta con ambas sustancias en diferentes dinamizaciones. Pulido et al. (2014) evaluaron la influencia de preparados homeopáticos en el crecimiento de plántulas y producción de repollo en sistemas orgánicos, encontrando que Sulphur 6 CH incrementó la altura y la longitud radicular, mientras que Silicea terra 30 CH y Sulphur 6 CH favorecieron el rendimiento del cultivo. Abasolo-Pacheco et al. (2020) estudiaron el efecto de cuatro medicamentos homeopáticos (Silicea Terra, Natrum muriaticum, Zincum phosphoricum y Phosphoricum acidum) en el desarrollo vegetativo del tomate, obteniendo mejoras significativas en la biomasa y el número de brotes florales con ciertos tratamientos.
El objetivo de esta investigación fue evaluar la eficacia de tratamientos agrohomeopáticos, específicamente fitonosodes, en la disminución de la severidad de la hernia de las crucíferas (Plasmodiophora brassicae) en cultivos de coliflor y repollo, bajo condiciones controladas de invernadero. Asimismo, se pretende analizar su efecto en el crecimiento y desarrollo fisiológico de las plantas, con el fin de contribuir al diseño de estrategias sostenibles para el manejo integrado de esta enfermedad.
Materiales y métodos
Ubicación. El ensayo se llevó a cabo en el invernadero del Laboratorio de Microbiología Agrícola del Centro de Investigaciones Agronómicas, Universidad de Costa Rica (LMA-CIA-UCR), en julio de 2020. Durante el período experimental, las condiciones climáticas externas presentaron temperaturas entre 17,9 y 25,1°C, con un promedio de precipitación de 242,0 mm. Dentro del invernadero, se registraron temperaturas entre 28 y 30°C, con una humedad relativa mantenida entre 75 y 80%.
Elaboración del Fitonosode. Se preparó a partir de material vegetal enfermo por Plasmodiophora brassicae, proveniente de raíces infectadas de repollo y coliflor. El material fue transportado en condiciones de refrigeración al LMA-CIA-UCR. En el laboratorio, se procesaron 2 g de raíces infectadas mediante trituración en un mortero con alcohol al 70% durante 10 minutos continuos. La maceración obtenida se almacenó en un frasco ámbar durante 10 días, con agitación de 3 minutos diarios. Transcurrido este período, se realizó la decantación y filtrado, obteniendo la tintura madre (TM).
Para preparar la dilución homeopática, se aplicó el método dilución Centesimal Hahnemanniano (CH), en el cual la TM se diluyó en un disolvente hidrosoluble al 85% en proporción 1:100. Se realizaron 30 ciclos de dilución y sucusión, para alcanzar la dinamización 30 CH. La dinamización consistió en la agitación vigorosa del preparado mediante sucusión (100 golpes por ciclo). La primera dilución obtenida tras la TM se denomina primera dilución Centesimal Hahnemanniano (1 CH), y el procedimiento se repitió hasta la 30 CH. La dosis utilizada en los tratamientos fue de 10 gotas por litro de agua destilada, con agitación durante un minuto. La solución preparada se almacenó a temperatura ambiente por ocho días antes de su aplicación.
Siembra de las plantas. Las plántulas de repollo y coliflor utilizadas en el ensayo fueron adquiridas en un vivero comercial y trasplantadas a macetas de 2 kg de capacidad. El suelo utilizado se recolectó en el cantón de Alfaro Ruíz, finca Guadalupe, una zona con antecedentes de alta incidencia de hernia de las crucíferas. El suelo fue dividido en dos tratamientos: una mitad fue esterilizada en autoclave durante tres días consecutivos y la otra mitad se utilizó sin esterilizar. Posteriormente, ambos tipos de suelo fueron distribuidos en las macetas correspondientes.
Tratamientos propuestos. Se diseñaron los tratamientos considerando la interacción entre el tipo de suelo (estéril o no estéril), la presencia del patógeno y la aplicación de fitonosodes con diferentes tiempos de sucusión. En la Tabla 1, se presenta la nomenclatura utilizada en los análisis y figuras.
Tabla 1. Tratamientos aplicados con su respectivo código utilizado en figuras y análisis.
Table 1. Treatments applied with corresponding codes used in figures and analyses.
|
Código |
|
Color |
|
Descripción del tratamiento |
|
|
|
|
|
|
|
Fitonosode_2 |
|
|
|
Fitonosode 30 CH sucusión 2 minutos + suelo estéril + raíces infectadas |
|
Fitonosode_5 |
|
|
|
Fitonosode 30 CH sucusión 5 minutos + suelo estéril + raíces infectadas |
|
Fitonosode_2 |
|
|
|
Fitonosode 30 CH sucusión 2 minutos + suelo no estéril + raíces infectadas |
|
Fitonosode_5 |
|
|
|
Fitonosode 30 CH sucusión 5 minutos + suelo no estéril + raíces infectadas |
|
Agua_2 |
|
|
|
Agua sucusionada 2 minutos + suelo estéril + raíces infectadas |
|
Agua_5 |
|
|
|
Agua sucusionada 5 minutos + suelo estéril + raíces infectadas |
|
Agua_2 |
|
|
|
Agua sucusionada 2 minutos + suelo no estéril + raíces infectadas |
|
Agua_5 |
|
|
|
Agua sucusionada 5 minutos + suelo no estéril + raíces infectadas |
|
Testigo |
|
|
|
Suelo estéril + raíces infectadas (control positivo) |
|
Testigo |
|
|
|
Suelo no estéril + raíces infectadas (control positivo) |
Aplicación de los tratamientos. Las aplicaciones de los tratamientos se realizaron mediante riego dirigido (drench) con una bomba manual. Se aplicaron 20 ml de solución por maceta. La frecuencia de aplicación varió entre semanal y quincenal, según el tratamiento.
Variables evaluadas. Las evaluaciones se realizaron 70 días después de la siembra (dds). Se midieron las siguientes variables:
Tabla 2. Escala de grado de severidad para evaluar los síntomas de la enfermedad causada por P. brassicae.
Table 2. Severity scale for assessing symptoms of the disease caused by P. brassicae.
|
Escala |
|
Grado de enfermedad |
|
0 |
|
Ningún síntoma |
|
1 |
|
Daño moderado en raíces laterales |
|
2 |
|
Daño < 25% en raíces laterales |
|
3 |
|
Daño < 50% en el sistema radical |
|
4 |
|
Daño > 50% en el sistema radical |
|
5 |
|
Daño al 100% (Total del sistema radical) |
Diseño del experimento y análisis de datos
El experimento se diseñó bajo un esquema de bloques completos al azar con cinco repeticiones por tratamiento, considerando cada maceta como unidad experimental.
Para las variables continuas (altura de planta, longitud de raíz y biomasa seca), se ajustó un modelo de análisis de varianza (ANDEVA) con un nivel de significación α = 0,05. Se verificaron los supuestos del modelo mediante gráficos de cuantiles, gráficos de residuos y gráficos de residuos vs predichos.
Para la variable número de hojas, se utilizó un modelo lineal generalizado con distribución Poisson y enlace logarítmico, con el efecto fijo de los tratamientos y efecto aleatorio de los bloques.
Se realizó separación de medias mediante la prueba de diferencia mínima significativa (DMS) de Fisher con α = 0,05.
La severidad de la enfermedad, al ser una variable ordinal, se analizó mediante un modelo ordinal acumulativo con función de enlace logit. Este modelo se ajustó con la función clmm del paquete ordinal (Christensen 2019) en el lenguaje estadístico R (R Core Team 2017), y se estimaron las probabilidades de cada nivel de severidad en la escala establecida.

Figura 1. Plantas del ensayo A) Coliflor y B) Repollo; C) Síntoma en la raíz ocasionado por Plasmodiophora brassicae.
Figure 1. Experimental plants: A) Cauliflower and B) Cabbage; C) Root symptoms caused by Plasmodiophora brassicae.

Figura 2. Escala para la evaluación de la severidad de P. brassicae. A) Grado 0: ningún síntoma; B) Grado 1: daño moderado en raíces laterales; C) Grado 2: daño < 25% en raíces laterales; D) Grado 3: daño < 50% en el sistema radical; E) Grado 4: daño > 50% en el sistema radical y F) Grado 5: daño al 100% (Pérdida total del sistema radical).
Figure 2. Scale for evaluating the severity of P. brassicae. A) Grade 0: No symptoms; B) Grade 1: Moderate damage to lateral roots; C) Grade 2: < 25% damage to lateral roots; D) Grade 3: < 50% damage to the root system; E) Grade 4: > 50% damage to the root system; and F) Grade 5: 100% damage (complete root system loss).
Resultados
Longitud foliar
Los resultados obtenidos para la variable de longitud foliar mostraron diferencias significativas entre los tratamientos y los tipos de suelo evaluados. En el cultivo de coliflor (Figura 3A), el tratamiento testigo presentó una longitud foliar promedio de 29,3 cm en suelo estéril, la cual fue significativamente menor que la obtenida con Fitonosode_5, que alcanzó los 35,3 cm. Sin embargo, en suelo no estéril, no se observaron diferencias significativas entre los tratamientos. En el ensayo con plantas de repollo (Figura 3B), los tratamientos Agua_2 y Fitonosode_5 en suelo estéril lograron las mayores longitudes foliares, con valores de 33,5 cm y 30,5 cm, respectivamente, lo que representa una diferencia significativa respecto al testigo (18,7 cm). En suelo no estéril, el tratamiento Agua_2 obtuvo la mayor longitud foliar con 22,7 cm, diferenciándose significativamente de los demás tratamientos.

Figura 3. Efecto de la aplicación de tratamientos agro-homeopáticos en la longitud foliar en plantas de A) Coliflor y B) Repollo infectadas por Plasmodiophora brassicae. San Pedro, Costa Rica, 2020. Medias con la misma letra no son significativamente diferentes según la prueba DMS de Fisher (p ≤ 0,05). LF = Longitud foliar media de las plantas (cm).
Figure 3. Effect of Agro-Homeopathic Treatments on leaf length in A) Cauliflower and B) Cabbage plants infected with Plasmodiophora brassicae. San Pedro, Costa Rica, 2020. Means sharing the same letter are not significantly different according to Fisher's Least Significant Difference (LSD) test (p ≤ 0.05). LF = Mean leaf length of the plants (cm).
Longitud de raíz
En la variable de longitud radicular en coliflor (Figura 4A), los tratamientos en suelo no estéril no presentaron diferencias significativas entre sí, pero sí con respecto al tipo de suelo, ya que la longitud de raíz fue mayor en suelo estéril. En este caso, el tratamiento testigo mostró raíces más largas en comparación con Fitonosode_2, que registró la menor longitud radicular. Para el caso del repollo (Figura 4B), el tratamiento Agua_2 en suelo no estéril alcanzó una longitud radicular de 13,9 cm, en contraste con el testigo (8,4 cm), existiendo diferencias significativas. No obstante, en el suelo estéril, no se detectaron diferencias significativas entre los tratamientos y el testigo.

Figura 4. Efecto de la aplicación de tratamientos agro-homeopáticos en la longitud de raíz en plantas de A) Coliflor y B) Repollo infectadas por Plasmodiophora brassicae. San Pedro, Costa Rica, 2020. Medias con la misma letra no son significativamente diferentes según la prueba DMS de Fisher (p ≤ 0,05). LR = Longitud de raíz media de las plantas (cm).
Figure 4. Effect of Agro-Homeopathic Treatments on Root Length in A) Cauliflower and B) Cabbage pants Infected with Plasmodiophora brassicae. San Pedro, Costa Rica, 2020. Means sharing the same letter are not significantly different according to Fisher's Least Significant Difference (LSD) test (p ≤ 0.05). RL = Mean root length of the plants (cm).
Biomasa fresca y seca foliar
En la biomasa fresca foliar de coliflor (Figura 5A), los resultados obtenidos en el suelo estéril evidenciaron diferencias significativas (p < 0,05) entre los tratamientos y el testigo. Los tratamientos Fitonosode_5 y Agua_5 obtuvieron los mayores valores con 158,8 g y 115,9 g, respectivamente, seguidos de Fitonosode_2 y Agua_2, con promedios de 97,6 g y 97,1 g, mientras que el testigo registró la menor biomasa fresca (95,5 g). En el suelo no estéril, Fitonosode_2 alcanzó la mayor biomasa con 131,5 g, sin diferencias significativas entre los demás tratamientos y el testigo.

Figura 5. Efecto de la aplicación de tratamientos agrohomeopáticos en el peso fresco foliar en plantas de A) Coliflor y B) Repollo infectadas por Plasmodiophora brassicae. San Pedro, Costa Rica, 2020. Medias con la misma letra no son significativamente diferentes según la prueba DMS de Fisher (p ≤ 0,05). PFF = Peso fresco foliar (g).
Figure 5. Effect of AgroHomeopathic Treatments on foliar fresh weight in A) Cauliflower and B) Cabbage plants infected with Plasmodiophora brassicae. San Pedro, Costa Rica, 2020. Means sharing the same letter are not significantly different according to Fisher's Least Significant Difference (LSD) test (p ≤ 0.05). PFF = Foliar fresh weight (g).
Con respecto a la biomasa seca foliar de las plantas de coliflor (Figura 5B), se encontraron diferencias significativas (p < 0,05) en el suelo estéril, donde Fitonosode_5, Fitonosode_2 y Agua_5 registraron los valores más altos (13,8 g; 12,8 g y 10,9 g, respectivamente) en comparación con Agua_2 (8,7 g) y el testigo (8,5 g). En el suelo no estéril, no se observaron diferencias significativas entre los tratamientos y el testigo.
Para el cultivo de repollo evaluado en el suelo estéril, los tratamientos Fitonosode_2 y Agua_2 obtuvieron las mayores biomasas frescas con 174,7 g y 169,4 g, respectivamente, mientras que Agua_5 y el testigo presentaron valores intermedios de 153,8 g y 141,1 g, con Fitonosode_5 mostrando la menor biomasa (92,1 g) (Figura 6A). En el suelo no estéril, los tratamientos Fitonosode_5 y Fitonosode_2 alcanzaron las mayores biomasas frescas con 146,6 g y 144,1 g, respectivamente, mientras que Agua_5 obtuvo el menor valor (97,1 g), con diferencias significativas respecto al testigo.

Figura 6. Efecto de la aplicación de tratamientos agrohomeopáticos en el peso seco foliar en plantas de A) Coliflor y B) Coliflor infectadas por Plasmodiophora brassicae. San Pedro, Costa Rica, 2020. Medias con la misma letra no son significativamente diferentes según la prueba DMS de Fisher (p ≤ 0,05). PSF = Peso seco foliar (g).
Figure 6. Effect of AgroHomeopathic Treatments on foliar dry weight in A) Cauliflower and B) Cabbage plants infected with Plasmodiophora brassicae. San Pedro, Costa Rica, 2020. Means sharing the same letter are not significantly different according to Fisher's Least Significant Difference (LSD) test (p ≤ 0.05). PFS = Foliar dry weight (g).
En la biomasa seca foliar evaluada en plantas de repollo (Figura 6B), en el suelo estéril se encontraron diferencias significativas (p < 0,05), donde los tratamientos Fitonosode_2, Agua_5 y Agua_2 presentaron los valores más altos (16,6 g; 14,8 g y 12,9 g, respectivamente), mientras que Fitonosode_5 (8,7 g) y el testigo (10,6 g) registraron las menores biomasas secas. En el suelo no estéril, los tratamientos Fitonosode_5 y Fitonosode_2 reportaron los valores más elevados de esta variable (16,9 g y 14,2 g), mientras que Agua_5 presentó la menor biomasa seca (10,6 g).
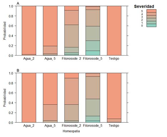
Severidad
Los resultados de severidad, analizados mediante un modelo ajustado, permitieron estimar la probabilidad de que Plasmodiophora brassicae cause una enfermedad leve o grave en coliflor y repollo. En el cultivo de coliflor (Figura 7A), el tratamiento Fitonosode_5 mostró una probabilidad superior al 80% de pertenecer a las categorías de severidad 0 a 3, en contraste con los tratamientos testigo, Agua_2 y Agua_5, que presentaron más del 90% de probabilidad de encontrarse en la categoría 5. Se observó que tanto en el suelo estéril como no estéril hay una probabilidad superior al 85% de alcanzar la categoría de severidad más alta.

Figura 7. Probabilidad de pertenecer a una categoría de la escala de severidad según el tratamiento aplicado para el control de Plasmodiophora brassicae en plantas de A) Coliflor y B) Repollo. San Pedro, Costa Rica, 2020.
Figure 7. Figure 7. Probability of assignment to a severity scale category based on the treatment applied for the control of Plasmodiophora brassicae in A) Cauliflower and B) Cabbage Plants. San Pedro, Costa Rica, 2020.
En las plantas de repollo (Figura 7B), el tratamiento Fitonosode_5 presentó más del 90% de probabilidad de pertenecer a las categorías 0 a 3, mientras que Fitonosode_2 mostró un 40% de probabilidad de ubicarse en la categoría 3 de severidad. En contraste, los tratamientos testigo, Agua_2 y Agua_5 presentaron una probabilidad superior al 90% de encontrarse en la categoría de severidad 5. Similar a lo observado en coliflor, el tipo de suelo no influyó significativamente en la probabilidad de severidad más alta, ya que tanto en suelo estéril como no estéril se reportó una probabilidad superior al 90% de alcanzar la categoría 5.
Estos resultados resaltan la capacidad de los fitonosodes, en especial el tratamiento Fitonosode_5, para mitigar la severidad de la enfermedad en coliflor y repollo, lo que evidencia su potencial como herramienta fitosanitaria alternativa en el manejo de P. brassicae.
Discusión
La infección de Plasmodiophora brassicae está altamente influenciada por las condiciones edáficas y ambientales, particularmente, por el pH del suelo y la disponibilidad de nutrientes esenciales. Singh et al. (2021) destacan que un pH inferior a 6,5 en suelos minerales favorece la proliferación del patógeno, debido a una mayor disponibilidad de iones de hidrógeno que facilitan su ciclo biológico. De manera opuesta, concentraciones elevadas de calcio y boro tienen un efecto inhibitorio sobre el desarrollo y reproducción de P. brassicae (Dixon 2014). Adicionalmente, la germinación de sus esporas está mediada por exudados radiculares específicos, lo que subraya la interacción planta-suelo como un factor determinante en la patogenicidad del microorganismo (Singh et al. 2021).
Desde una perspectiva homeopática, los fitonosodes pueden desempeñar un papel en la modulación de la respuesta inmune de las plantas. Según Vieracker (2015), basándose en el principio de similitud de Paracelso, un nosode actúa como un contraveneno, al estimular mecanismos de detoxificación mediante una excitación débil del sistema inmunológico. Montagnier (2015) describe cómo las soluciones acuosas dinamizadas pueden transmitir información electromagnética que influye en la expresión de ADN, lo que podría explicar el efecto de los fitonosodes en la inducción de resistencia en plantas tratadas.
Longitud foliar
Los resultados obtenidos para la variable de longitud foliar evidencian una respuesta diferenciada entre los tratamientos y los tipos de suelo evaluados. En coliflor, el tratamiento Fitonosode_5 en suelo estéril promovió el mayor crecimiento foliar, mientras que en suelo no estéril no se detectaron diferencias significativas entre los tratamientos y el testigo (Figura 3A).
En las plantas de repollo, el tratamiento Agua_2 destacó en ambos tipos de suelo, sugiriendo que la dinamización del agua por sucusión también genera efectos beneficiosos en el desarrollo vegetativo (Figura 3B). Estos hallazgos coinciden con lo reportado por Pulido et al. (2014), quienes obtuvieron una mayor altura en plántulas de repollo tratadas con Sulphur 30 CH y 6 CH, con valores de 12,9 cm y 13,2 cm respectivamente. Asimismo, Magro et al. (2011) reportaron alturas promedio de 10,52 cm en repollos cultivados bajo manejo convencional. En conjunto, estos resultados refuerzan la hipótesis de que los fitonosodes y las soluciones dinamizadas pueden promover el desarrollo vegetativo, favoreciendo la supervivencia y competitividad de las plantas frente a la infección por P. brassicae.
Además, la eficacia de los tratamientos estuvo directamente relacionada con la duración y vigor de la sucusión. Lange y Gaylord (2017) destacan que la agitación rigurosa de los preparados homeopáticos facilita la incorporación de nanoburbujas de oxígeno, lo que puede incrementar su actividad biológica. Además, Kokornaczyk et al. (2018) sugieren que la sucusión prolongada puede alterar la estructura de las proteínas presentes en las soluciones y promover su actividad biológica. En este estudio, los fitonosodes preparados con mayor tiempo de sucusión mostraron efectos más pronunciados en la promoción del crecimiento vegetal, lo que refuerza la importancia de estandarizar los protocolos de dinamización en la agrohomeopatía.
Longitud de raíz
El análisis de la longitud radicular mostró que, en plantas de coliflor el tratamiento Agua_2 en suelo no estéril presentó raíces significativamente más largas (13,9 cm) en comparación con el testigo (Figura 4A), mientras que en suelo estéril no se detectaron diferencias significativas. En repollo, se observaron diferencias marcadas entre los tratamientos, sugiriendo un efecto positivo de los fitonosodes en la protección del sistema radicular contra la infección por P. brassicae (Figura 4B). Sin embargo, esta protección no implicó un incremento en la longitud de la raíz, lo que indica que el mecanismo de acción de los nosodes podría estar más relacionado con la fortificación estructural y funcional de las raíces que con su elongación. Jaramillo y Díaz (2006) enfatizan la importancia de un sistema radicular bien desarrollado en brasicáceas, ya que raíces profundas mejoran la absorción de agua y nutrientes, confiriendo mayor resistencia al estrés hídrico y factores abióticos adversos.
Biomasa fresca y seca foliar
La biomasa foliar fresca y seca presentó variaciones significativas según el tipo de suelo y tratamiento aplicado. En el cultivo de coliflor, los tratamientos Fitonosode_5 y Agua_5 promovieron un mayor peso fresco en suelo estéril; mientras que, en suelo no estéril el mejor tratamiento fue Fitonosode_2 (Figuras 5A y B). En cuanto a la biomasa seca (Figuras 6A y B), en el suelo estéril los tratamientos Fitonosode_5, Fitonosode_2 y Agua_5 demostraron los valores más elevados, mientras que en suelo no estéril no se observaron diferencias significativas entre los tratamientos y el testigo. Para el cultivo de repollo evaluado en suelo estéril, los tratamientos Fitonosode_2 y Agua_2 reportaron los valores más elevados de peso fresco foliar, aunque el tratamiento Fitonosode_5 presentó valores menores que los obtenidos en el tratamiento testigo. En el suelo no estéril, los tratamientos Fitonosode_5 y Fitonosode_2 presentaron un efecto en la biomasa seca. Estos hallazgos concuerdan con estudios previos que evidencian mejoras en crecimiento, biomasa y resistencia a plagas y enfermedades tras la aplicación de tratamientos homeopáticos (Silva 2002, Rossi 2005, Meneses-Moreno 2009, Meneses 2017, Gonçalves et al. 2011, Alvarado-Mendoza et al. 2017, Mazón-Suástegui et al. 2018).
Severidad de la enfermedad
Al evaluar la severidad de la enfermedad, se evidenció que en las plantas de coliflor el tratamiento Fitonosode_5 redujo la incidencia de P. brassicae en más del 80%, mientras que en plantas de repollo este tratamiento demostró una mayor eficacia, con una reducción del 90% en la categoría de severidad más alta (Figuras 7A y B). Esto sugiere que los nosodes no solo disminuyen la severidad de la infección, sino que podrían inducir respuestas inmunológicas específicas en la planta, como ha sido propuesto por Konrad (1999). Este efecto podría explicarse mediante la teoría del similar etiológico, donde la exposición a un nosode estimula mecanismos de defensa innata en el hospedero, promoviendo la resistencia ante futuros ataques del patógeno.
Implicaciones de los resultados obtenidos en el presente estudio
La agrohomeopatía ofrece un enfoque innovador para mejorar la resiliencia de las plantas frente a patógenos, así como para optimizar su rendimiento agronómico sin recurrir a agroquímicos convencionales. Su integración en sistemas agrícolas sostenibles podría representar una alternativa viable para la gestión de enfermedades en cultivos comerciales, con beneficios tanto en términos de productividad como de impacto ambiental. La estandarización de los protocolos de dinamización y la exploración de nuevas Diluciones Centesimales Hahnemannias podrían contribuir a mejorar la eficacia de estos tratamientos y maximizar su aplicabilidad en la producción agrícola a gran escala.
Conclusiones
Los resultados obtenidos en este estudio demuestran que la aplicación de fitonosodes representa una alternativa fitosanitaria viable para el control de la hernia de las crucíferas, con efectos significativos en la reducción de la severidad de la enfermedad y en la mejora del desarrollo fisiológico de coliflor y repollo. La alta eficacia de estos tratamientos en suelos estériles sugiere que su mecanismo de acción podría estar vinculado con la estimulación de respuestas inmunológicas en las plantas, lo que resalta su potencial como estrategia sostenible en la agricultura.
El análisis de la biomasa fresca y seca, así como del desarrollo radicular y foliar, confirma que los fitonosodes pueden promover un crecimiento óptimo de las plantas y superar en algunos casos a los tratamientos convencionales. Esta capacidad de favorecer el desarrollo vegetal sin la utilización de agroquímicos refuerza la agrohomeopatía como una herramienta compatible con sistemas agrícolas orgánicos y agroecológicos. Sin embargo, la variabilidad de los resultados en suelos no estériles indica la necesidad de evaluar la persistencia del efecto de los tratamientos en condiciones de campo y en ciclos de cultivo prolongados.
A pesar de sus beneficios, este estudio presenta ciertas limitaciones. La falta de análisis de los mecanismos moleculares involucrados en la acción de los fitonosodes impide comprender completamente su modo de acción. Además, la ausencia de validación en condiciones de campo restringe la extrapolación de los resultados a sistemas productivos comerciales. Por ello, se recomienda la implementación de estudios adicionales que incluyan ensayos a gran escala, así como la estandarización de los protocolos de dinamización y aplicación de los tratamientos.
Desde una perspectiva práctica, la agrohomeopatía podría representar una alternativa ecológica y económica para el manejo de enfermedades en cultivos de brasicáceas, al reducir la dependencia de agroquímicos y minimizar el impacto ambiental de la producción agrícola. Su integración en programas de manejo fitosanitario requiere la colaboración entre investigadores, productores y organismos reguladores para optimizar su aplicación y garantizar su eficacia a largo plazo. Con base en estos hallazgos, se recomienda continuar investigando la relación entre la sucusión, la potencia de los preparados y su impacto en la resistencia vegetal, con el fin de consolidar la agrohomeopatía como una práctica viable dentro de la agricultura sostenible.
Literatura citada
Abasolo-Pacheco, F; Bonilla-Montalván, B; Bermeo-Toledo, C; Ferrer-Sánchez, Y; Ramírez-Castillo, AJ; Mesa-Zavala, E; Llerena-Ramos, L; Mazón-Suástegui, J. 2020. Efecto de medicamentos homeopáticas en plantas de tomate (Solanum lycopersicum L.). Terra Latinoamericana Número Especial 38(1):103-117. DOI: https://doi.org/10.28940/terra.v38i1.718
Abbasi, P; Lazarovits, G. 2006. Effect of soil application of AG3 phosphonate on the severity of clubroot of bok choy and cabbage caused by Plasmodiophora brassicae. Plant Dis. 90(12):1517-1522. DOI: https://doi.org/10.1094/PD-90-1517
Alvarado-Mendoza, AF; Jirón-Gile, JI; Mazón-Suástegui, J; Granados-Rivas, Y; Abasolo-Pacheco, F. 2017. La agrohomeopatía: una alternativa para el control del patógeno Fusarium oxysporum f. sp. lycopersici. El Misionero del Agro 16:54-65.
Betti, L; Trebbi, G; Majewsky, V; Scherr, C; Shah-Rossi, D; Jäger, T; Baumgartner, S. 2009. Use of homeopathic preparations in phytopathological models and in field trials: a critical review. Homeopathy 98:244-266. DOI: https://doi.org/10.1016/j.homp.2009.09.008
Bonato, M; Telles de Proenca, G; Reis, B. 2009. Homeopathic drugs Arsenicum album and Sulphur affect the growth and essential oil content in mint (Mentha arvensis L.) Acta Scientiarum. Agronomy 31(1):101-105. DOI: https://doi.org/10.4025/actasciagron.v31i1.6642
Christensen, RHB. 2019. Regression models for ordinal data. R package version 2019.4-25. The R Project, MO, USA. Consultado 25 abr. 2021. Disponible en http://www.cran.r-project.org/package=ordinal/
Dixon, GR. 2014. Clubroot (Plasmodiophora brassicae Woronin): an agricultural and biological challenge worldwide. Can J Plant Pathol. 36(1):5-18. DOI: https://doi.org/10.1080/07060661.2013.875487
Donald, E; Porter, I; Faggian, R; Lancaster, R. 2006. An integrated approach to the control of clubroot in vegetable brassica crops. Retrieved from. s. p. DOI: https://doi.org/10.17660/ActaHortic.2006.706.33
Ernst, 2016. Homeopathy: the undiluted facts. Switzerland, Springer. p. 153. DOI: https://doi.org/10.1007/978-3-319-43592-3
Gonçalves, P; Boff, P; Boff, M; Nesi, C. 2011. Efeito da aplicacao do preparado homeopatico de Natrum muriaticum na incidencia de Thrips tabaci na produtividade e na armazenagem de cebola em sistema organico. Agropec. Catarinense 24:76-78.
Ingram, D; Tommerup, IC. 1972. The life history of Plasmodiophora brassicae Woron. In Proceedings of the Royal Society of London. Series B. Biological Sciences 180:103-112. DOI: https://doi.org/10.1098/rspb.1972.0008
Jaramillo, NJE; Diaz, DCA. 2006. Generalidades del cultivo. In Jaramillo NJE; Diaz DCA. El cultivo de las crucíferas. Rionegro: CORPOICA, Centro de Investigación La Selva. Manual Técnico 20:9-55.
Jaschke, D; Dugassa-Gobena, D; Karlovsky, P; Vidal, S; Ludwig-Muller, J. 2010. Suppression of clubroot development in Arabidopsis thaliana by the endophytic fungus Acremonium alternatum. Plant Pathol. 59:100-111. DOI: https://doi.org/10.1111/j.1365-3059.2009.02199.x
Keen, N; Williams, P. 1969. Translocation of sugars into infected cabbage tissues during clubroot development. Plant Physiol. 44 (5):748-754. DOI: https://doi.org/10.1104/pp.44.5.748
Kokornaczyk, MO; Scherr, C; Baumgartner, S. 2018. Phase-transition-induced pattern formation applied to basic research on homeopathy: a systematic review. Homeopathy 107:181-188. DOI: https://doi.org/10.1055/s-0038-1649521
Konrad, W. 1999. Therapy with nosode preparation. An assesment of their efectiveness. Journal of Natural Medicine. Biological Therapy 97-102.
Lange, A; Gaylord, S. 2017. Homeopathy. Berkeley, CA, North Atlantic Books. p. 307-314.
Ludwig-Muller, J; Schuller, A. 2007. What can we learn from clubroots Alteration in host roots and hormone homeostasis caused by Plasmodiophora brassicae. Sustainable Disease Management in a European context. Springer. p. 291-302. DOI: https://doi.org/10.1007/978-1-4020-8780-6_8
Magro, FO; Salata, AC; Bertolini, EV; Cardoso, AI. 2011. Produção de repolho em função da idade das mudas. Revista Agro@mbiente 5:119-123. DOI: https://doi.org/10.18227/1982-8470ragro.v5i2.416
Majewsky, V; Arlt, S; Shah, D; Scherr. C; Jager, T; Betti, L; Trebbi, G; Bonamin, L; Klocke, P; Baumgartner, S. 2009. Use of homeopathic preparations in experimental studies with healthy plants. Homeopathy 98:228-243. DOI: https://doi.org/10.1016/j.homp.2009.09.012
Mazón Suástegui, JM; Murillo-Amador, B; Batista-Sánchez, D; Agüero-Fernández, Y; García-Bernal, MR; Ojeda Silvera, C. 2018. Natrum muriaticum as an attenuant of NaCl-salinity in basil (Ocimum basilicum L.). Nova Scientia 10(21):120‑136.
Meneses, N. 2017. Agrohomeopatía como alternativa a los agroquímicos. Revista médica de Homeopatía 10(1):9-13. DOI: http://dx.doi.org/10.1016/j.homeo.2017.04.004
Meneses-Moreno, N. 2009. Agrohomeopatía una opción para la agricultura. Bol. Informativo Homeopatía Agríc. 1:1-25.
Montagnier, L. 2015. Transduction of DNA information through water and electromagnetic waves. Electromagnetic Biology and Medicine 34(2):106-112.
Murakami, H; Tsushima, S; Kuroyanagi, Y; Shishido, Y. 2002. Reduction of resting spore density of Plasmodiophora brassicae and clubroot disease severity by liming. Soil Sci. Plant Nutr. 48(5):685-691. DOI: https://doi.org/10.3109/15368378.2015.1036072
Murakami, H; Tsushima, S; Shishido, Y. 2000. Soil suppressiveness to clubroot disease of Chinese cabbage caused by Plasmodiophora brassicae. Soil Biol. Biochem. 32(11-12):1637-1642. DOI: https://doi.org/10.1016/S0038-0717(00)00079-1
Niwa, R; Kumei, T; Nomura, Y; Yoshida, S; Osaki, M; Ezawa, T. 2007. Increase in soil pH due to Ca-rich organic matter application causes suppression of the clubroot disease of crucifers. Soil Biol. Biochem. 39(3):778-785. DOI: https://doi.org/10.1016/j.soilbio.2006.09.027
Pulido, E; Boff, P; Duarte, T; Boff, M. 2014. Preparados homeopáticos en el crecimiento y en la producción de repollo cultivado en sistema orgánico. Horticultura Brasileira 32:267-272. DOI: http://dx.doi.org/10.1590/S0102-05362014000300005
R Core Team. 2017. R: A language and environment for statistical computing. R Foundation for Statistical Computing. Viena, Austria.
Rocherieux, J; Glory, P; Giboulot, A; Boury, S; Barbeyron, G; Thomas, G; Manzanares-Dauleux, MJ. 2004. Isolate-specific and broad-spectrum QTLs are involved in the control of clubroot in Brassica oleracea. Theor Appl Genet. 108:1555-1563. DOI: https://doi.org/10.1007/s00122-003-1580-x
Rossi, F. 2005. Aplicação de preparados homeopáticos em morango e alface visando o cultivo com base agroecológica. Dissertação de Mestrado. Escola Superior de Agricultura Luiz de Queiroz (ESALQ). Piracicaba, SP, Brasil. 5 p.
Shah-Rossi, D; Heusser, P; Baumgartner, S. 2009. Homeopathic treatment of Arabidopsis thaliana plants infected with Pseudomonas syringae. SWJ. DOI: https://doi.org/10.1100/tsw.2009.38
Siemens, J; González, MC; Wolf, S; Hofmann, C; Greiner, S; Du, Y; Ludwig-Müller, J. 2011. Extracellular invertase is involved in the regulation of clubroot disease in Arabidopsis thaliana. Mol. Plant Pathol. 12 (3):247-262. DOI: https://doi.org/10.1111/j.1364-3703.2010.00667.x
Siemens, J; Keller, I; Sarx, J; Kunz, S; Schuller, A; Nagel, W; Ludwig-Muller, J. 2006. Transcriptome analysis of Arabidopsis clubroots indicates a key role for cytokinins in disease development. Mol. Plant Microbe Interact. 19(5):480-494. DOI: https://doi.org/10.1094/MPMI-19-0480
Silva, EP. 2002. Efeito do medicamento homeopático Sulphur em algumas variáveis do crescimento e produtividade de rabanete. Maringá, 32f. Monografía (Especialização em Botânica) – Departamento de Biologia. Maringá, PR, Brasil, Universidade Estadual de Maringá. 11 p.
Singh, G; Mehta, N; Dayal, P. 2021. Clubroot Disease of Crucifers: biology, ecology and disease management. Springer. p. 757. DOI: https://doi.org/10.1007/978-981-16-2133-8
Suwabe, K; Tsukazaki, H; Iketani, H; Hatakeyama, K; Kondo, M; Fujimura, M; Matsumoto, S. 2006. Simple sequence repeat-based comparative genomics between Brassica rapa and Arabidopsis thaliana -The genetic origin of clubroot resistance. Genetics 173(1):309-319. DOI: https://doi.org/10.1534/genetics.104.038968
Tremblay, N; Belec, C; Coulombe, J; Godin, C. 2005. Evaluation of calcium cyanamide and liming for control of clubroot disease in cauliflower. Crop Prot. 24(9):798-803. DOI: https://doi.org/10.1016/j.cropro.2004.12.013
Vieracker, V. 2015. Nosode and sarcode therapies and their history--a controversial inheritance. Med Ges Gesch. 33:155-177.
Wallenhammar, AC; Johnsson, L; Gerhardson, B. 2000. Agronomic performance of partly clubrootresistant spring oilseed turnip rape lines. J Phytopathol. 148:495-499. DOI: https://doi.org/10.1046/j.1439-0434.2000.00536.x
![]()