Agronomía Costarricense 49 (2025) 422

María Fernanda Campos-Granados1, Juan C. Méndez2/*
*Autor por correspondencia. Correo electrónico: juancarlos.mendez@ucr.ac.cr
1Universidad de Costa Rica, Laboratorio de
Suelos y Foliares, Centro de Investigaciones Agronómicas y Escuela de Agronomía,
San José, Costa Rica
https://orcid.org/0009-0000-6646-0745
2Universidad de Costa Rica Laboratorio de
Suelos y Foliares, Centro de Investigaciones Agronómicas y Escuela de
Agronomía, San José, Costa Rica
https://orcid.org/0000-0002-1658-400X
DOI: https://doi.org/10.15517/vf5xpa16
Recibido 12 de diciembre del 2024; Aceptado el 18 de marzo del 2025
Introducción. La conductividad eléctrica del extracto de pasta saturada (CE(e)) es el método estándar para evaluar el impacto de la salinidad en los cultivos, pero su implementación en laboratorio presenta limitaciones que afectan su reproducibilidad. Estudios previos han relacionado la CE(e) con mediciones de CE obtenidas en extracciones suelo/agua. Sin embargo, la variabilidad de los suelos y de los métodos empleados hacen necesario validaciones específicas para suelos de Costa Rica. Objetivo. Establecer la relación entre la CE en extractos de pasta saturada y en dos extracciones suelo/agua, y validar la relación entre CE y suma de cationes (SC) solubles en extractos de suelo y muestras de aguas naturales y agrícolas en Costa Rica. Materiales y métodos. Se midió la CE en suelos mediante tres metodologías: pasta saturada, y en extracciones (1:2,5) relación volumétrica y (1:5) masa/volumen. Se cuantificó la concentración de cationes solubles (Ca, Mg, K, Na) mediante ICP-OES en extractos de suelo y muestras de aguas. Los factores de conversión (fc) entre CE(1:2,5)/CE(1:5) y CE(e), así como la relación CE-SC, se determinaron mediante análisis de regresión. Resultados. Los fc obtenidos para CE(1:2,5)-CE(e) y CE(1:5)-CE(e) fueron 3,00 y 4,30, respectivamente. A partir de estos fc, se establecieron valores críticos de CE(1:2,5) y CE(1:5) para cultivos sensibles y moderadamente sensibles a la salinidad. La robusta relación lineal CE-SC valida el uso del factor de proporcionalidad K = 10 para estimar SC (mmol(+) L-1) a partir de CE (dS m-1). Conclusiones. Las extracciones (1:2,5) y (1:5) son métodos prácticos para estimar CE(e). Los resultados permitirán estandarizar la interpretación de CE en suelos de Costa Rica, lo cual tiene implicaciones para fines de manejo de este recurso. La relación CE-SC respalda el uso de CE como herramienta rápida para estimar la concentración de sales solubles en extractos acuosos suelos y muestras de aguas de Costa Rica.
Palabras clave: extracciones de suelo; pasta saturada; diagnóstico de salinidad; análisis de suelos; composición de aguas; concentración de sales.
Research Article
Relationship between methods for assessing electrical conductivity and concentration of soluble cations in soils from Costa Rica
Introduction. The electrical conductivity of saturated paste extract (EC(e)) is the reference method for assessing the impact of soil salinity on crops. However, this method has drawbacks that limit its reproducibility in the laboratory. Previous studies have related EC(e) to EC measurements conducted on various soil/water extractions. However, due to the variability of soils and methods employed, specific local validations are needed for soils in Costa Rica. Objective. To establish the relationship between EC(e) and EC measurements in soil/water extractions (1:2,5) and (1:5), and to validate the relationship between EC and the sum of soluble cations (SC) in soil extracts and water samples in Costa Rica. Materials and methods. EC was measured in Costa Rican soils using three methodologies: saturated paste extract, (1:2,5) volumetric ratio extractions, and (1:5) mass/volume ratio extractions. Soluble cations (Ca, Mg, K, Na) were quantified by ICP-OES in both soil extracts and water samples. Conversion factors (fc) between EC(1:2,5)/EC(1:5) and EC(e), as well as the EC-SC relationship, were determined through regression analysis. Results. The fc values obtained for EC(1:2,5)-EC(e) and EC(1:5)-EC(e) were 3,00 and 4,30, respectively. Based on these fc, critical EC(1:2,5) and EC(1:5) values were established for sensitive and moderately sensitive crops to salinity. The strong linear EC-SC relationship validated the use of the proportionality factor K = 10 to estimate SC (mmol(+) L⁻¹) from EC (dS m⁻¹) data. Conclusions. The (1:2,5) and (1:5) extractions are practical methods for estimating EC(e), and these results will allow to standardize the EC interpretation and soil salinity diagnosis in soils from Costa Rica. The EC-SC relationship supports the use of EC as a proxy for the total concentration of soluble salts in soils extracts and water samples in Costa Rica.
Keywords: soil extractions; saturated paste; salinity diagnosis; soil análisis; water composition; salts concentration.
La conductividad eléctrica (CE) es un parámetro fisicoquímico que mide la capacidad de una solución para conducir corriente eléctrica, y está directamente relacionada con la concentración de sales disueltas (Corwin y Yemoto 2020). Este parámetro es uno de los más utilizados para diagnosticar y monitorear la salinidad en suelos y aguas. Por ejemplo, la medición de CE permite evaluar de manera sencilla y confiable cambios en la condición química de los suelos tras la implementación de prácticas de manejo como fertilización y riego, lo que contribuye a la gestión sostenible de los recursos suelo y agua.
Además de su utilidad como indicador directo de salinidad y de calidad de aguas, la CE facilita la estimación de otros parámetros importantes, como la concentración total de sales y la fuerza iónica de las soluciones (Simón y García 1999, McCleskey et al. 2012). Esto es de relevancia tanto desde el punto de vista teórico como práctico, por ejemplo, en estudios de geoquímica ambiental que buscan analizar la especiación química, la actividad iónica y la interacción entre componentes en diferentes matrices acuosas.
En contextos agrícolas, el uso de la CE para el diagnóstico oportuno de salinidad del suelo es esencial, ya que esta variable representa una limitante mayor en la productividad de los sistemas donde hay acumulación de sales, ya sea por causas naturales o antropogénicas (Hassani et al. 2021). La alta concentración de sales disminuye el potencial osmótico de la solución del suelo, limitando la disponibilidad de agua para las plantas y afectando su crecimiento y metabolismo. Además, la alta concentración de iones sodio (Na⁺) y cloruro (Cl⁻) puede ocasionar daños directos por toxicidad, así como desbalances nutricionales en las plantas (Hassani et al. 2021, Corwin y Yemoto 2020). La salinidad también puede afectar la estructura y actividad de la comunidad microbiana (Wichern et al. 2006), lo que causa desequilibrios en el ciclo de nutrientes y de la materia orgánica en los suelos.
Tradicionalmente, la CE medida en extractos de pasta saturada (CE(e)) ha sido el método de referencia para clasificar los suelos según su nivel de salinidad, debido a su supuesta mayor representatividad de la humedad del suelo en condiciones de campo (Rhoades 1996) y a su correlación con la respuesta de los cultivos a la salinidad (Wang et al. 2023, Gharaibeh et al. 2021). Sin embargo, esta metodología presenta una serie de limitaciones significativas a nivel de laboratorio: es laboriosa, relativamente costosa y difícil de reproducir, debido a la subjetividad en la determinación del punto de saturación de la pasta, el cual depende de las propiedades específicas del suelo como textura, tipo de arcillas y contenido de materia orgánica (He et al. 2015, Visconti et al. 2010b).
En respuesta a estas limitaciones, muchos laboratorios alrededor del mundo han adoptado metodologías alternativas para medir la CE en extractos de suelo con diferentes relaciones suelo/agua (Wang et al. 2023, Alves et al. 2022), como por ejemplo en extracciones (1:2,5) y (1:5). Estas metodologías reducen significativamente los tiempos de análisis, permiten procesar más muestras y facilitan la estandarización de las mediciones (Endo et al. 2021, Sonmez et al. 2008).
Sin embargo, dado que la CE(e) sigue siendo utilizada en la literatura como referencia para diagnosticar daños potenciales en cultivos sensibles a la salinidad, es necesario establecer relaciones entre la CE(e) y las mediciones de CE obtenidas por medio de métodos de extracciones con una relación suelo/agua determinada.
Estudios previos han propuesto factores de conversión para relacionar la CE(e) con valores de CE en extracciones con diferentes relaciones suelo/agua (Sonmez et al. 2008, Ozcan et al. 2006, Endo et al. 2021, Kargas et al. 2020, Aboukila y Norton 2017, Álvarez Torres et al. 2023). Sin embargo, las relaciones establecidas son de carácter empírico, ya que dependen de las propiedades fisicoquímicas del suelo, como textura, contenido de materia orgánica y presencia de minerales como calcita y yeso (Khorsandi y Yazdi 2007, Seo et al. 2022, Spiteri y Sacco 2024). Además, las variaciones metodológicas entre laboratorios, por ejemplo, en el tiempo y el tipo de agitación, limitan la aplicabilidad universal de dichas relaciones (Visconti et al. 2010b, He et al. 2012).
En Costa Rica, algunos laboratorios de análisis de suelos emplean rutinariamente la extracción en relación volumétrica suelo/agua (1:2,5) (Díaz-Romeu y Hunter 1978), para determinar la CE de forma simultánea con el pH en agua. Esta metodología difiere de las extracciones basadas en la relación masa/volumen, utilizadas más comúnmente en otros países. Por lo tanto, considerando los aspectos anteriores, resulta evidente la importancia de realizar validaciones locales entre la CE(e) y las mediciones de CE hechas en otras metodologías de extracción de suelo. Estas validaciones deben considerar la variedad de suelos que se analizan en el país, así como las metodologías específicas de medición de CE empleadas en los laboratorios nacionales.
El objetivo principal de este estudio fue establecer relaciones entre la CE obtenida con el método de pasta saturada (CE(e)) y la CE medida en dos métodos de extracción con relaciones suelo/agua de (1:2,5) y (1:5), utilizando muestras representativas de la condición de CE en los suelos de Costa Rica. La extracción (1:2,5) se incluyó en el presente estudio porque es la metodología de rutina utilizada para la medición simultanea de pH y CE en varios de los laboratorios del país; mientras que la extracción (1:5) se analizó porque es uno de los procedimientos de operación estándar establecidos actualmente por FAO para la medición de CE en suelos (FAO 2021b).
Otro objetivo del presente trabajo fue analizar la relación entre CE y la suma de cationes (SC) solubles en los extractos de suelo. Con el fin de demostrar la robustez de estas relaciones y extender su aplicabilidad, se analiza también la relación entre CE y SC en muestras de aguas naturales y agrícolas de Costa Rica, destacando así la utilidad de la CE como un parámetro clave en la evaluación y manejo de recursos suelo y agua.
Se consultó la base de datos del Laboratorio de Suelos y Foliares del Centro de Investigaciones Agronómicas (LSF-CIA) de la Universidad de Costa Rica para realizar un análisis exploratorio de los valores de CE registrados en muestras de suelo de Costa Rica analizadas entre enero de 2023 y octubre de 2024. Con base en esta exploración, se seleccionaron 48 muestras de suelos cuyo valor de CE en extracciones suelo/agua 1:2,5 (CE(1:2,5)) estuviera dentro del intervalo de los percentiles 2,5 y 97,5% (Tabla 1), excluyendo así el 2,5% de los valores extremos mínimos y máximos. Las muestras seleccionadas se distribuyeron en cuatro categorías similares de CE(1:2,5), con el objetivo de garantizar que los resultados del estudio sean representativos del rango de valores más comúnmente reportados por el LSF-CIA para suelos de Costa Rica. La distribución final de las muestras según las categorías de CE(1:2,5) se muestra en la Figura 1.
Extractos de pasta saturada. En la literatura, se reportan variaciones metodológicas para la preparación de la pasta saturada, por ejemplo, en el tiempo de equilibrio y en la masa inicial de suelo (Rhoades 1996, Soil Survey Staff 2022, FAO 2021a). En este estudio, se realizó una prueba preliminar con 10 muestras de suelo para evaluar si existían diferencias significativas en la CE del extracto de la pasa saturada (CE(e)) al utilizar 100 o 200 g de suelo. Tras comprobar la igualdad de varianzas entre ambos grupos mediante una prueba F, se realizó una prueba t pareada que confirmó la hipótesis nula (p > 0,05) de que no existe diferencias significativas en la CE(e) entre ambos grupos. Con base en estos resultados, se decidió utilizar 100 g de suelo como masa inicial para la preparación de la pasta saturada, lo cual permitió disponer de suficiente material para los demás análisis.
Los extractos de pasta saturada se prepararon añadiendo agua ultrapura a 100 g de suelo seco y molido con un tamaño de partícula < 2 mm. El agua se añadió de manera controlada para hidratar uniformemente el suelo hasta alcanzar la condición de saturación, siguiendo los criterios recomendados por Soil Survey Staff (2022): la pasta debe brillar al reflejar la luz, fluir ligeramente al inclinar el recipiente y deslizarse libremente sobre la espátula. Las pastas saturadas se dejaron equilibrar por al menos 2 horas y posteriormente se filtraron al vacío con papel filtro grado 1288 (Sartorius, Göttingen, Alemania). La CE(e) se midió con un conductímetro previamente calibrado con una solución de CE = 1,413 dS m-1 y verificado con una solución de referencia certificada (CE = 0,500 dS m-1). Para este análisis, se utilizaron las 48 muestras de suelo seleccionadas previamente.
Tabla 1. Valores de percentiles de la conductividad eléctrica medidos en extractos con relación volumétrica suelo/agua 1:2,5 (CE(1:2,5)) y estimados en el extracto de pasta saturada (CE(e)) para suelos de Costa Rica analizados en el Laboratorio de Suelos y Foliares (LSF-CIA) entre enero de 2023 y septiembre de 2024 (n = 6800).
Table 1. Percentile values of electrical conductivity measured in soil/water extracts with a 1:2,5 volumetric ratio (CE(1:2.5)) and estimated in the saturated paste extract (CE(e)) for soils from Costa Rica analyzed at the Soil and Plant Analyses Laboratory (LSF-CIA) between January 2023 and September 2024 (n = 6800)
.
|
Percentil |
|
CE(1:2,5) |
|
CE(e) |
|
|
dS m-1 |
|||
|
2,5 |
|
0,03 |
|
0,08 |
|
25 |
|
0,07 |
|
0,20 |
|
50 |
|
0,11 |
|
0,32 |
|
75 |
|
0,19 |
|
0,58 |
|
97,5 |
|
1,56 |
|
4,67 |

Figura 1. Distribución de las 48 muestras de suelo en cuatro categorías de conductividad eléctrica medida en extracciones suelo/agua (1:2,5) (CE(1:2,5)). Las muestras fueron seleccionadas según los valores más representativos (intervalo entre percentiles 2,5 y 97,5%) reportados en la base de datos del Laboratorio de Suelos y Foliares (LSF-CIA).
Figure 1. Distribution of the 48 soil samples into four categories of electrical conductivity measured in soil/water (1:2,5) extractions (CE(1:2,5)). The samples were selected based on the most representative values (percentile range 2,5–97,5%) reported in the database of the Soil and Plant Analyses Laboratory (LSF-CIA).
Extracciones suelo/agua relación volumétrica (1:2,5). La determinación de la CE en estos extractos (CE(1:2,5)) se realizó siguiendo la metodología de extracción utilizada en Costa Rica para medir el pH en agua de los suelos (Díaz-Romeu y Hunter 1978). Se midieron 10 mL de suelo seco y molido con un tamaño de partícula < 2 mm y se añadieron 25 mL de agua ultrapura. Las muestras se agitaron en un agitador orbital durante 10 minutos a 200 rpm y, posteriormente, la CE(1;2,5) se midió directamente en la suspensión suelo/agua con un conductímetro previamente calibrado y verificado. Este análisis se realizó con las 48 muestras de suelo seleccionadas previamente.
Extracciones suelo/agua (1:5) relación masa/volumen. La determinación de la CE en estos extractos (CE(1:5)) se realizó siguiendo el procedimiento estándar propuesto por la FAO (2021b). Se pesaron 5 g de suelo seco y molido con un tamaño de partícula < 2 mm y se añadieron 25 mL de agua ultrapura. Las muestras se agitaron en un agitador orbital durante 60 minutos a 180 rpm y, posteriormente, se dejaron reposar durante 30 minutos. Tras este tiempo, la CE(1:5) se midió directamente en la suspensión suelo/agua mediante un conductímetro previamente calibrado y verificado. Este análisis se realizó con 38 de las 48 muestras de suelo seleccionadas previamente.
Medición de cationes solubles en los extractos de suelo
La concentración de cationes solubles (Ca, Mg, K, Na) se determinó en los extractos de suelo obtenidos por medio de las tres metodologías descritas previamente para la medición de la CE. Esto se realizó con el fin de establecer las relaciones entre la suma de cationes (SC) solubles y los valores de CE. Los extractos provenientes de la pasta saturada, así como de las extracciones con relaciones (1:2,5) y (1:5), se filtraron con filtros de acetato de celulosa con un tamaño de poro de 0,22 µm (Sartorius, Göttingen, Alemania). La determinación de la concentración total de cationes solubles se realizó en los extractos filtrados mediante Espectrometría de Emisión Atómica con Plasma Acoplado Inductivamente (ICP-OES). Con el fin de optimizar los recursos, este análisis incluyó los 48 extractos obtenidos mediante la metodología de pasta saturada y una selección de 20 muestras correspondientes a las extracciones (1:2,5) y (1:5).
Para ampliar el alcance del análisis de la relación entre la CE y SC, y para establecer comparaciones con los resultados obtenidos de los extractos de suelo, se recopiló de la base de datos del LSF-CIA la información de los análisis químicos de aguas realizados durante el período 2021-2024. Tras una revisión detallada de los análisis, se seleccionaron exclusivamente aquellas muestras que pudieron ser identificadas en una de las siguientes dos categorías: i) aguas naturales (n = 434) que incluyen ríos, pozos, lagos, reservorios, entre otros; y ii) aguas de uso agrícola (n = 77) que comprenden soluciones nutritivas y efluentes de sistemas de irrigación.
La concentración total de sales disueltas (Cs), expresada en mmol(+) L-1, se puede estimar a partir de:
(Ecuación
1)
donde Ci+ y Ajˉ son, respectivamente, la concentración de los diferentes cationes (i) y aniones (j) en solución (en mmol L-1), y |zi| y |zj| son de forma respectiva los valores absolutos de la valencia de cada catión (i) y anión (j). En extractos de suelo y en aguas naturales, los cationes predominantes son Ca2+, Mg2+, K+, y Na+, mientras que los principales aniones incluyen Cl-, HCO3-, SO42- (Corwin y Yemoto 2020, Rhoades 1996). En suelos bajo uso intensivo de fertilizantes, o en aguas de uso agrícola, los iones NH4+ y NO3- también pueden contribuir significativamente a la composición iónica de la solución.
Dado que la cuantificación de los aniones mayores en solución puede ser costosa o no siempre factible, es conveniente simplificar el cálculo de Cs a partir de la suma de cationes. Considerando el principio de electroneutralidad de cargas en solución (Brezonik y Arnold 2011), es decir Σ|zi|Ci+ » Σ|zj|Ajˉ, la Ecuación 1 se reduce a:
(Ecuación
2)
Por lo tanto, en el presente trabajo se utilizó la Ecuación 2 para estimar la Cs a partir de los datos de suma de cationes solubles.
Se realizaron análisis de regresión lineal para evaluar las relaciones entre los valores de CE obtenidos mediante las diferentes metodologías evaluadas, y para evaluar la relación CE - SC en extractos de suelo y muestras de agua. Se evaluó la significancia estadística de los modelos de regresión y de sus parámetros (p < 0,05). En la mayoría de las regresiones, el valor del intercepto no fue significativamente diferente de cero, salvo en los casos en que se indique explícitamente lo contrario. Todos los análisis estadísticos fueron realizados con el programa R (versión 4.3.1; R Core Team 2023).
La mayoría de los suelos de Costa Rica analizados entre enero de 2023 y octubre de 2024 (n = 6800) presentan valores de CE(1:2,5) entre 0,03 y 1,56 dS m-1, con una mediana de 0,11 dS m-1. En la Tabla 1 se resume los valores de CE correspondientes a diferentes percentiles. Los percentiles 2,5 y 97,5% se definieron como referencia para excluir el 5% de los valores extremos. Al expresar los valores de CE(1:2,5) en términos de CE(e) se obtuvo que solo ~ 5% de los suelos presentan valores de CE(e) superiores a 2 dS m-1, y menos del 2,5% superan los 4 dS m-1. Estos valores se utilizan comúnmente como referencia para identificar condiciones potencialmente dañinas para cultivos sensibles y moderadamente sensibles a la salinidad (Grieve et al. 2011, Hassani et al. 2021).
La CE medida en las extracciones suelo/agua con relaciones (1:2,5) y (1:5) mostró una relación lineal altamente significativa con la CE determinada mediante el método de pasta saturada (CE(e)) (Figura 2). Esta linealidad es consistente con los resultados reportados en estudios previos (Kargas et al. 2020, Aboukila y Norton 2017, Sonmez et al. 2008). El valor de las pendientes en los modelos de regresión fueron 3,00 ± 0,15 para la relación CE(1:2,5) – CE(e) y 4,30 ± 0,30 para CE(1:5) – CE(e). Estos valores representan factores de conversión (fc) que sirven para expresar las mediciones de CE en extracciones suelo/agua en términos de CE(e). En ambos casos, los interceptos no fueron significativamente distintos de cero (p > 0,05), por lo que se omitieron en las ecuaciones finales.
Varios estudios han explorado la relación entre CE(e) y la CE obtenida mediante extracciones suelo/solución en diversos tipos de suelos. En particular, la extracción (1:5) ha sido más estudiada debido a su uso extendido en numerosos países (He et al. 2012, Visconti et al. 2010b). Kargas et al. (2020) y Álvarez Torres et al. (2023) presentan una recopilación de modelos lineales y sus respectivos fc reportados en la literatura para la relación CE(1:5) – CE(e). Por otro lado, la información disponible sobre la relación CE(1:2,5) – CE(e) es limitada y se circunscribe a estudios que emplean extracciones basadas en relaciones masa/volumen (Omar et al. 2024, Sonmez et al. 2008), en contraste con la extracción (1:2,5) relación volumen/volumen utilizada en este estudio.

Figura 2. Relación entre las mediciones de conductividad eléctrica en los extractos de pasta saturada (CE(e)) con las mediciones obtenidas en extracciones suelo/agua con relaciones (1:2,5) (CE(1:2,5)) (panel A) y (1:5) (CE(1:5)) (panel B). Las líneas continuas corresponden a los modelos de regresión lineal ajustados a los datos con significancia estadística p < 0,001, mientras que las áreas sombreadas en gris representan los intervalos de confianza del 95% asociados a cada modelo. Las ecuaciones de regresión y los respectivos coeficientes de determinación (R2) de los modelos se muestran en cada panel. Las líneas discontinuas indican valores de referencia de 2,0 y 4,0 dS m-1 para CE(e) y sus correspondientes valores para CE(1:2,5) y CE(1:5) según los modelos ajustados.
Figure 2. Relationship between electrical conductivity measurements in saturated paste extracts (CE(e)) and those obtained in soil/water extractions with ratios of (1:2,5) (CE(1:2,5)) (panel A) and (1:5) (CE(1:5)) (panel B). The solid lines represent linear regression models fitted to the data with statistical significance p < 0,001, while the shaded areas indicate the 95% confidence intervals. The regression equations and their respective coefficients of determination (R2) are shown in each panel. The dashed lines indicate reference values of 2,0 and 4,0 dS m-1 for CE(e) and their corresponding values for CE(1:2,5) and CE(1:5) according to the fitted models.
Sonmez et al. (2008) reportaron fc superiores en comparación a los hallados en el presente estudio, con valores de 3,75 - 4,41 para CE(1:2,5) – CE(e) y 7,19 - 7,78 para CE(1:5) – CE(e), dependiendo de la textura del suelo. Al analizar los datos en conjunto, es decir sin hacer distinción por clase textural, similar al análisis del presente estudio, estos autores reportan fc de 4,0 y 7,57 respectivamente para las relaciones CE(1:2,5) – CE(e) y CE(1:5) – CE(e). Sin embargo, la metodología de extracción (agitación manual repetida) reportada por Sonmez et al. (2008) difiere de las metodologías utilizadas en este estudio, y el uso de un número reducido de suelos salinizados artificialmente podrían limitar la representatividad de los resultados reportados.
Por otro lado, resultados más similares a los encontrados en el presente estudio han sido reportados por Aboukila y Norton (2017) y Ozcan et al. (2006), quienes reportaron respectivamente fc de 3,05 y 3,30 para la relación CE(1:2,5) – CE(e), y de 5,04 y 5,97 para la relación CE(1:5)–CE(e). Endo et al. (2021) reportaron un fc = 3,86 para la relación CE(1:5)–CE(e) en suelos de Sudán con valores de CE(e) de hasta 17,35 dS m-1, mientras que para suelos de China reportaron fc = 5,41 para CE(e) de hasta 6,79 dS m-1.
La variabilidad en los valores de fc reportados en la literatura refleja su naturaleza empírica y su dependencia de propiedades fisicoquímicas como textura, materia orgánica, tipo de sales predominantes y la presencia de minerales solubles (Corwin y Yemoto 2020, Álvarez Torres et al. 2023), lo cual imposibilita su aplicación universal. Además, variaciones metodológicas y en el rango de CE evaluado influyen en estas diferencias. Por ejemplo, Visconti et al. (2010b) observaron que la linealidad de la relación CE(1:5) – CE(e) se optimiza hasta valores de CE(1:5) de 1,0 dS m-1, disminuyendo la precisión de la relación para valores superiores.
Las consideraciones anteriores subrayan la importancia y la necesidad de realizar validaciones específicas con muestras que representan el rango más común de CE en los suelos que se analizan en Costa Rica. Por lo tanto, los fc de conversión determinados en este estudio permitirán una mejor interpretación de los análisis de CE en suelos del país. La determinación de CE mediante extracciones suelo/agua (1:2,5) y (1:5) es más simple y económica en comparación con el método de pasta saturada. En particular, la extracción (1:2,5) permite optimizar recursos analíticos al combinarse con la medición de pH-H2O, según los métodos de rutina más empleados en Costa Rica (Méndez y Bertsch 2012, Díaz-Romeu y Hunter 1978).
En la Figura 2 se representan con líneas discontinuas los valores de CE(e) de 2 y 4 dS m-1, usados como referencia para identificar condiciones de salinidad potencialmente dañinas para cultivos sensibles y moderadamente sensibles. A partir de las regresiones lineales de la Figura 2, estos valores de referencia corresponden, respectivamente, a 0,7 y 1,3 dS m-1 para CE(1:2,5), y a 0,5 y 1,0 dS m-1 para CE(1:5). Aunque la representatividad de valores con CE(e) mayor a 4,0 dS m-1 es limitada en el presente estudio, y aunque la mayoría de los suelos analizados presentan valores de CE(e) inferiores a 2 dS m-1, las relaciones determinadas tienen relevancia práctica al permitir distinguir por medio de extracciones (1:2,5) o (1:5) condiciones de suelos potencialmente restrictivas para cultivos sensibles y moderadamente sensibles a la salinidad.
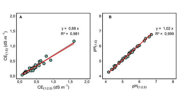
El valor promedio de densidad de las muestras analizadas en la Figura 2 es 0,97 ± 0,14 g ml-1. Este valor permite establecer una comparación más directa entre los resultados de las extracciones suelo/agua (1:2,5) relación volumen/volumen y (1:5) relación masa/volumen. El mayor valor de pendiente observado en la relación CE(1:5) – CE(e) (Figura 2B), en comparación con la relación CE(1:2,5) – CE(e) (Figura 2A), refleja el efecto de una mayor dilución en los extractos (1:5). No obstante, este incremento en la pendiente es menor al esperado si la dilución fuera el único factor que influye en las diferencias de CE entre ambas metodologías de extracción.
Esta situación se evidencia también en la Figura 3A, donde la relación CE(1:2,5) – CE(1:5) presenta una pendiente de 0,68, superior al valor de 0,5 esperado si la dilución (2x) fuera el único determinante de las diferencias de CE entre ambas extracciones.
Lo anterior puede explicarse por el mayor tiempo de agitación empleado en las extracciones (1:5) (60 minutos), según el procedimiento estándar de FAO (FAO 2021b), en comparación con los 10 minutos utilizados en las extracciones (1:2,5). El tiempo adicional de agitación favorece una mayor liberación de iones hacia la solución, lo cual se puede atribuir a procesos de disolución de sales, desadsorción e intercambio iónico (He et al. 2012, Visconti et al. 2010b). Ante una dilución mayor, los suelos poseen una capacidad amortiguadora que les permite ajustar la partición sólido-solución de los iones y alcanzar un nuevo equilibrio. Sin embargo, esta capacidad es más limitada para los iones que contribuyen a la CE, en comparación con la capacidad del suelo para liberar H+ en respuesta a diluciones. Esto se refleja en la Figura 3B, donde los valores de pH-H2O medidos mediante ambas metodologías de extracción (1:2,5 y 1:5) son prácticamente iguales, independientemente del nivel de dilución aplicado a las muestras de suelo.

Figura 3. Relación entre las mediciones de conductividad eléctrica (panel A) y de pH (panel B) obtenidas en las extracciones suelo/agua con relación (1:2,5) y (1:5). Las líneas continuas corresponden a los modelos de regresión lineal ajustados a los datos con significancia estadística p < 0,001, mientras que el área sombreada en gris representa el intervalo de confianza del 95% de los modelos. Las ecuaciones de regresión y los respectivos coeficientes de determinación (R2) se muestran en cada panel.
Figure 3. Relationship between electrical conductivity measurements (panel A) and pH measurements (panel B) obtained in soil/water extractions with ratios of (1:2,5) and (1:5). The solid lines represent the linear regression models fitted to the data with statistical significance p < 0,001, while the gray shaded area indicates the 95% confidence interval of the models.
Dado que la CE está determinada por la concentración de iones disueltos, en este trabajo, se caracterizó la composición catiónica de los extractos de suelos y muestras de agua, y su relación con los valores de CE medidos. Esta caracterización incluyó los principales cationes solubles (Ca, Mg, K, Na) desde el punto de vista geoquímico.
La Tabla 2 presenta un resumen con la estadística descriptiva correspondiente a la composición catiónica de los extractos de suelo obtenidos mediante las tres metodologías evaluadas en este estudio. Según lo esperado, tanto los valores de CE como las concentraciones de cationes solubles fueron mayores en los extractos de pasta saturada y disminuyeron progresivamente con el aumento de la dilución suelo/agua. Por ejemplo, en el caso de la suma de cationes (SC), los valores medidos en los extractos de pasta saturada oscilaron entre 2,32 - 37,48 mmol(+) L-1 (n = 48), mientras que en los extractos (1:2,5) y (1:5), estos rangos fueron de 0,81 - 11,87 mmol(+) L-1 (n = 20) y de 0,46 - 8,43 mmol(+) L-1 (n = 20), respectivamente.
La información presentada en la Tabla 2 sobre la composición catiónica de los extractos de suelo se complementa con los diagramas ternarios de la Figura 4. Estos diagramas, ampliamente utilizados en el área de geoquímica ambiental, muestran la composición relativa de los principales iones en muestras acuosas (Appelo y Postma 2004), y permiten una comparación directa entre diferentes muestras así como la identificación de patrones o conglomerados según su composición iónica. Los diagramas ternarios de la Figura 4 muestran la composición catiónica relativa de los extractos de suelo obtenidos mediante el método de pasta saturada (panel A), así como la composición catiónica relativa de aguas naturales (ríos, pozos, reservorios, lagos) de diversas regiones de Costa Rica (panel B).
Los resultados indican
que, en la mayoría de los extractos de pasta saturada, el Ca constituye entre
el 40% y 60% de la suma de cationes (expresada en mmol(+) L-1),
mientras que el Mg representa valores entre el 20% y 40%. En el caso de K+Na,
se observa una mayor dispersión en su contribución relativa a la composición
catiónica, aunque la mayoría de las muestras se ubica dentro de un rango del
10% al 30%. En aguas naturales, el Ca y el Mg siguen una tendencia muy similar
a la observada en los extractos de suelo, con contribuciones relativas que
oscilan entre el 40% y el 60% para el Ca, y entre el 20% y el 40% para el Mg.
En el caso de K+Na, las muestras de agua presentan una dispersión aún mayor que
la registrada en los extractos de suelo, probablemente, debido a la diversidad
en los orígenes de las muestras.
Tabla 2. Estadísticas descriptivas (promedio, desviación estándar, mediana, valores máximos y mínimos, y número de observaciones n) de los datos de conductividad eléctrica y de la concentración de principales cationes en los extractos de suelos obtenidos por medio del método de pasta saturada y en las extracciones suelo/agua con relación (1:2,5) y (1:5).
Table 2. Descriptive statistics (mean, standard deviation, median, maximum and minimum values, and number of observations n) for electrical conductivity and the concentration of major cations in soil extracts obtained using the saturated paste method and soil/water extractions with (1:2,5) and (1:5) ratios.
|
|
CE |
|
Ca |
Mg |
K |
Na |
Suma Cationes |
|
dS m-1 |
mmol(+) L-1 |
||||||
|
Extractos pasta saturada |
|||||||
|
Promedio |
1,17 |
|
5,00 |
2,50 |
1,56 |
0,82 |
9,89 |
|
Desv. Est. |
0,79 |
|
4,14 |
2,09 |
1,32 |
0,90 |
7,17 |
|
Mediana |
0,98 |
|
3,84 |
1,96 |
1,05 |
0,58 |
8,13 |
|
Min |
0,33 |
|
1,09 |
0,63 |
0,11 |
0,23 |
2,32 |
|
Max |
4,76 |
|
18,92 |
10,06 |
5,69 |
6,48 |
37,48 |
|
n |
48 |
|
48 |
48 |
48 |
48 |
48 |
|
Extractos (1:2,5) |
|||||||
|
Promedio |
0,38 |
|
1,50 |
0,71 |
0,70 |
0,31 |
3,21 |
|
Desv. Est. |
0,26 |
|
1,40 |
0,68 |
0,52 |
0,47 |
2,70 |
|
Mediana |
0,33 |
|
0,95 |
0,38 |
0,59 |
0,16 |
2,25 |
|
Min |
0,07 |
|
0,20 |
0,13 |
0,05 |
0,05 |
0,81 |
|
Max |
1,62 |
|
5,86 |
2,29 |
1,84 |
2,21 |
11,87 |
|
n |
48 |
|
20 |
20 |
20 |
20 |
20 |
|
Extractos (1:5) |
|||||||
|
Promedio |
0,28 |
|
1,05 |
0,51 |
0,50 |
0,21 |
2,26 |
|
Desv. Est. |
0,20 |
|
1,06 |
0,55 |
0,35 |
0,33 |
2,08 |
|
Mediana |
0,25 |
|
0,56 |
0,23 |
0,42 |
0,10 |
1,46 |
|
Min |
0,04 |
|
0,10 |
0,06 |
0,03 |
0,03 |
0,46 |
|
Max |
1,16 |
|
4,07 |
1,78 |
1,15 |
1,55 |
8,43 |
|
n |
38 |
|
20 |
20 |
20 |
20 |
20 |

Figura 4. Diagramas ternarios con la composición relativa de los principales cationes (Ca, Mg, y K + Na), expresada como porcentaje de la suma de cationes (mmol(+) L-1), en los extractos de suelo (n = 48) obtenidos mediante el método de pasta saturada (panel A) y en muestras de agua natural (n = 434) provenientes de ríos, pozos, reservorios (panel B).
Figure 4. Ternary diagrams showing the relative composition of the main cations (Ca, Mg, and K + Na), expressed as a percentage of the sum of cations (mmol(+) L-1), in soil extracts (n = 48) obtained using the saturated paste method (panel A) and in natural water samples (n = 434) from rivers, wells, and reservoirs (panel B).
La CE mostró una relación altamente significativa (p < 0,001) con la suma de cationes solubles (SC = Ca + Mg + K + Na) en los extractos de suelo obtenidos mediante las tres metodologías evaluadas en este estudio (Figura 5). La pendiente de la regresión lineal fue de 0,110 ± 0,004. Los símbolos en blanco en la Figura 5 corresponden a dos valores atípicos, identificados por medio de una prueba de Bonferroni (p ajustado < 0,05). Estos valores fueron excluidos del análisis de regresión. No obstante, el valor de la pendiente calculada permaneció dentro del intervalo de confianza del 95%, independientemente de la inclusión o exclusión de estos valores atípicos.

Figura 5. Relación entre la suma de cationes (SC) solubles (Ca + Mg + K+ Na) y la conductividad eléctrica (CE) en los extractos de suelo (n = 86) obtenidos mediante las metodologías pasta saturada, extracción suelo/agua 1:2,5 (volumen/volumen) y extracción suelo/agua 1:5 (masa/volumen). La línea continua corresponde al modelo de regresión lineal ajustado (p < 0,001), y el área sombreada representa el intervalo de confianza del 95% del modelo de regresión. La ecuación de regresión y el coeficiente de determinación (R2) se muestran en la figura. Los símbolos en blanco corresponden a posibles valores atípicos según la prueba de Bonferroni (p ajustado < 0,05) y por lo tanto no fueron incluidos en el análisis de regresión.
Figure 5. Relationship between the sum of soluble cations (SC) (Ca + Mg + K + Na) and electrical conductivity (CE) in soil extracts (n = 86) obtained using the saturated paste method, soil/water extraction 1:2,5 (volume/volume), and soil/water extraction 1:5 (mass/volume). The solid line represents the fitted linear regression model (p < 0,001), and the shaded area indicates the 95% confidence interval of the regression model. Open symbols indicate potential outliers according to the Bonferroni test (adjusted p < 0,05) and were therefore excluded from the regression analysis.
Con el fin de ilustrar la robustez y aplicabilidad de la relación entre la SC y CE, se incluyó el análisis de un conjunto adicional de muestras de aguas naturales (n = 434) y de aguas agrícolas (n = 77). En ambos casos, se obtuvieron relaciones altamente significativas (p < 0,001) en el rango de CE evaluado (hasta ~4 dS m-1) con pendientes de 0,096 ± 0,001 en las muestras de aguas naturales y de 0,107 ± 0,002 en muestras de aguas agrícolas (Figura 6). Para estas últimas muestras, la suma de cationes consideró también la contribución de NH4+, debido a la concentración relativamente alta de N en aguas que se utilizan para fertilización de cultivos.

Figura 6. Relación entre la suma de cationes (SC) solubles y la conductividad eléctrica (CE) en muestras de aguas naturales (n = 434) provenientes de ríos, pozos, lagos, entre otros, y en aguas identificadas para uso agrícola (n = 77). Las líneas continuas corresponden a los modelos de regresión lineal ajustados (p < 0,001). Las ecuaciones de regresión y los coeficientes de determinación (R2) se muestran en la figura. Para las aguas naturales la suma de cationes solubles correspondió a Ca + Mg + K+ Na, mientras que para las aguas agrícolas este valor incluyó también el aporte de NH4+. El gráfico incrustado muestra el detalle de la relación para valores de CE menores a 1,0 dS m-1 para las muestras de aguas naturales (n = 418).
Figure 6. Relationship between the sum of soluble cations (SC) and electrical conductivity (CE) in natural water samples from rivers, wells, lakes (n = 434), and in water samples identified for agricultural use (n = 77). The solid lines represent the fitted linear regression models (p < 0,001). For natural waters, the sum of soluble cations included Ca + Mg + K + Na, while for agricultural waters, this value also included the contribution of NH4+. The inset shows a detailed view of the relationship for CE values below 1.0 dS m-1 in natural water samples (n = 418).
Considerando la Ecuación 2, la CE de los extractos de suelo y aguas se puede también relacionar directamente con la Cs. A medida que aumenta la concentración total de sales disueltas, la CE de la solución también incrementa, ya que son los iones disociados a partir de la solubilización de sales los responsables de conducir la corriente eléctrica en las soluciones (Simón y García 1999).
La conductividad molar (Λm) es una propiedad que indica la capacidad de conducción de electricidad (dS m-1) por mol de electrolitos disueltos (mmol L-1). Considerando 1 mmol L-1 = 1 mol m-3, la Λm, se puede expresar en dS m2 mol-1. En soluciones mixtas, es decir, soluciones con varios tipos de iones de diferente valencia, resulta conveniente expresar la Λm en términos de conductividad equivalente (Λeq).
Para ello, se utiliza el valor de Cs (en mmol(+) L-1) con el fin de estandarizar el efecto de la carga variable de los diferentes iones en solución (Robinson y Stokes 2002). Esto permite establecer una comparación estandarizada entre soluciones con diferente composición iónica, tal y como ocurre en extractos de suelos y aguas naturales. Valores de Λeq que oscilan entre 0,10 – 0,13 dS m2 mol(+)-1 se reportan para diferentes soluciones electrolíticas (Appelo y Postma 2004). En soluciones mixtas, el valor general de Λeq dependerá del tipo de iones predominantes y de su contribución relativa a la CE.
En las Figuras 5 y 6, las pendientes de las líneas de regresión para la relación SC- CE dan una aproximación del valor de Λeq para los extractos de suelo y muestras de agua, y las ecuaciones de regresión lineal se pueden expresar de forma generalizada como:
(Ecuación
3)
donde la Λeq (dS m2 mol(+)-1) es un factor que relaciona los valores de CE (dS m-1) con la suma de cationes Σ|zi|Ci+ (mmol(+) L-1) o bien con la Cs al sustituir la Ecuación 2 en la Ecuación 3. Este valor aparente de Λeq, derivado empíricamente a partir de las regresiones lineales (Figuras 5 y 6), refleja de manera general la contribución de todos los iones disueltos a la CE de las soluciones. Se le denomina "aparente" debido a su naturaleza empírica, ya que 1) su valor depende del tipo específico de iones presentes en la solución y su respectiva contribución relativa a la CE, lo cual puede variar entre muestras; y 2) se considera que la concentración total de cationes es igual a la concentración de las formas completamente disociadas de estos iones, es decir, no se considera la formación de pares iónicos.
La relación lineal mostrada en las Figura 5 y 6 es válida para rangos de suma de cationes entre ~1 - 50 mmol(+) L-1. A mayores concentraciones otros tipos de relación (por ejemplo, polinomial o exponencial) podrían ser más adecuadas para describir la relación entre SC y CE (Corwin y Yemoto 2020, Simón y García 1999). Esto se debe a que las interacciones entre iones en solución se intensifican al incrementar su concentración (Visconti et al. 2010a), provocando una desviación de la linealidad de la Ecuación 3.
A pesar de su derivación empírica, el valor aparente de Λeq es un parámetro relevante. Específicamente, su valor inverso (Λeq-1) corresponde con el factor de proporcionalidad K, el cual se puede emplear para estimar de forma práctica la Cs a partir de los valores de CE. De esta manera, al reorganizar la Ecuación 3, se obtiene:
(Ecuación
4)
con CE expresada en dS m-1 y Cs en mmol(+) L-1. El valor de K calculado para los extractos de suelo es de 9,09 (Figura 5), mientras que para las muestras de aguas naturales y agrícolas es de 10,42 y 9,35, respectivamente (Figura 6).
Dentro de la incertidumbre del análisis, estos valores son consistentes con el valor K = 10 reportado en la literatura para estimar la Cs a partir de mediciones de CE (Corwin y Yemoto 2020, Strawn et al. 2020, Appelo y Postma 2004). Por lo tanto y para fines prácticos, se recomienda utilizar el valor de literatura tanto en extractos de suelo como en aguas. La CE también permite estimar de manera práctica y rápida el valor aproximado de la fuerza iónica (I en mol L-1) de una solución, por medio de la relación empírica I = 0,013 x CE (dS m-1) (Rhoades 1996, Strawn et al. 2020). Este valor de I puede emplearse posteriormente para calcular la actividad de los iones en solución, a través del cálculo de los coeficientes de actividad.
Desde una perspectiva práctica, la Ecuación 4 resulta particularmente útil, ya que permite estimar Cs de manera eficiente y económica a partir de mediciones de CE, tanto en extractos de suelo (Figura 5) como en muestras de aguas naturales o de uso agrícola (Figura 6). Aunque en la literatura se han propuesto otras aproximaciones más fundamentadas teóricamente (McCleskey et al. 2012, Suarez 2005), su implementación práctica es limitada ya que consideran no solo las concentraciones totales de los iones, sino también la formación de especies iónicas, lo cual requiere el uso de programas de especiación química.
Consistente con los resultados de CE (Figura 2), la suma de cationes solubles (SC = Ca + Mg + K + Na) en las extracciones (1:2,5) y (1:5) también muestra una relación lineal altamente significativa (p < 0,001) con la SC de los extractos de pasta saturada (Figura 7). El aumento en el factor de dilución entre los extractos (1:2,5) y (1:5) no se traduce en un incremento proporcional de la pendiente, lo que refleja la capacidad amortiguadora del suelo para liberar cationes adicionales a la solución al aumentar la dilución, tal y como se discutió previamente para los valores de CE.
A diferencia de la Figura 7, en la cual la relación lineal es resultado de la contribución de todos los cationes solubles, la Figura 8 muestra de forma individual la relación entre la concentración de cada catión en el extracto de pasta saturada y en los extractos (1:2,5) y (1:5). Se encontraron relaciones altamente significativas (p < 0,001) para todos los cationes, con valores de R2 superiores a 0,954. La Tabla 3 muestra de forma sintetizada las ecuaciones de los modelos de regresión obtenidos para estas relaciones, así como para las relaciones de CE entre las diferentes metodologías evaluadas.

Figura 7. Relación entre la suma de cationes (SC) solubles (Ca + Mg + K + Na) en extractos suelo/agua 1:2,5 (relación volumen/volumen) y 1:5 (relación masa/volumen) respecto a los valores obtenidos en extractos de pasta saturada. Las líneas continuas corresponden a los modelos de regresión lineal ajustados a los datos con significancia estadística p < 0,001. Las áreas sombreadas representan los intervalos de confianza del 95% de los modelos de regresión correspondientes. Las ecuaciones de regresión y los respectivos coeficientes de determinación (R2) se muestran en la figura.
Figure 7. Relationship between the sum of soluble cations (SC) (Ca + Mg + K + Na) in soil/water extracts with 1:2,5 (volume/volume) and 1:5 (mass/volume) ratios compared to values obtained in saturated paste extracts. The solid lines represent the fitted linear regression models with statistical significance p < 0,001. The shaded areas indicate the 95% confidence intervals of the corresponding regression models.
Sonmez et al. (2008) también reportaron relaciones significativas entre las concentraciones de cationes solubles medidas en extractos de pasta saturada y las de los extractos diluidos (1:2,5 y 1:5). Sin embargo, las pendientes de dichas relaciones fueron considerablemente mayores que las observadas en la Figura 8, probablemente debido a la salinización artificial de los suelos utilizados por Sonmez et al. (2008).
En la Figura 8, se observa que las pendientes de los modelos de regresión lineal difieren entre los distintos cationes, lo cual indica que la dilución en las extracciones (1:2,5) y (1:5) con respecto a la pasta saturada tiene un efecto diferenciado según el tipo de catión. En ambas extracciones, los cationes monovalentes (K y Na) presentan pendientes menores que los cationes divalentes (Ca y Mg). Esta tendencia también fue reportada por Sonmez et al. (2008), quienes observaron pendientes menores para los cationes monovalentes en comparación con los divalentes.

Figura 8. Relación entre la concentración de Ca (panel A), Mg (panel B), K (panel C) y Na (panel D) medida en extractos suelo/agua 1:2,5 (relación volumen/volumen) y 1:5 (relación masa/volumen) respecto a las concentraciones obtenidas en los extractos de pasta saturada. Las líneas continuas corresponden a los modelos de regresión lineal ajustados a los datos con significancia estadística p < 0,001. Las áreas sombreadas representan los intervalos de confianza del 95% de los modelos de regresión correspondientes. Las ecuaciones de regresión y los respectivos coeficientes de determinación (R2) se muestran en cada panel.
Figure 8. Relationship between the concentration of Ca (panel A), Mg (panel B), K (panel C), and Na (panel D) measured in soil/water extracts with 1:2,5 (volume/volume) and 1:5 (mass/volume) ratios compared to the concentrations obtained in saturated paste extracts. The solid lines represent the fitted linear regression models with statistical significance p < 0,001. The shaded areas indicate the 95% confidence intervals of the corresponding regression models.
Tabla 3. Resumen de las ecuaciones de regresión lineal, con los respectivos coeficientes de determinación (R2), que describen las relaciones entre la conductividad eléctrica, concentración de Ca, Mg, K, y Na, y la suma de cationes (SC) obtenidas en los extractos de pasta saturada y en las extracciones suelo/agua con relaciones (1:2,5) y (1:5).
Table 3. Summary of linear regression equations, including the corresponding determination coefficients (R2), that describe the relationships between electrical conductivity, the concentration of Ca, Mg, K, and Na, and the sum of cations (SC) obtained in saturated paste extracts and soil/water extractions with (1:2,5) and (1:5) ratios.
|
Parámetro |
|
De 1:2,5 (x) a pasta saturada (y) |
De 1:5 (x) a pasta saturada (y) |
De 1:2,5 (x) a 1:5 (y) |
|||||
|
|
Ecuación |
R2 |
Ecuación |
R2 |
Ecuación |
R2 |
|||
|
CE (dS m-1) |
|
y = 3,00 (±0,15) x |
0,972 |
|
y = 4,30 (±0,30) x |
0,956 |
|
y = 0,68 (±0,03) x |
0,981 |
|
Ca (mmol(+) L-1) |
|
y = 3,69 (±0,39) x |
0,954 |
|
y = 5,09 (±0,51) x |
0,959 |
|
y = 0,72 (±0,03) x |
0,988 |
|
Mg (mmol(+) L-1) |
|
y = 4,06 (±0,36) x |
0,967 |
|
y = 5,33 (±0,44) x |
0,972 |
|
y = 0,76 (±0,05) x |
0,983 |
|
K (mmol(+) L-1) |
|
y = 2,62 (±0,15) x |
0,986 |
|
y = 3,68 (±0,36) x |
0,972 |
|
y = 0,70 (±0,07) x |
0,989 |
|
Na (mmol(+) L-1) |
|
y = 3,02 (±0,17) x |
0,987* |
|
y = 4,36 (±0,17) x |
0,978* |
|
y = 0,69 (±0,02) x |
0,997 |
|
SC (mmol(+) L-1) |
|
y = 3,52 (±0,28) x |
0,973 |
|
y = 4,83 (±0,38) x |
0,973 |
|
y = 0,73 (±0,04) x |
0,989 |
Todas las regresiones fueron estadísticamente significativas (p < 0,001). Los números entre paréntesis corresponden al intervalo de confianza del 95% de cada pendiente estimada. Excepto en dos casos, señalados con *, el intercepto de las regresiones no fue significativamente distinto de cero (p < 0,05). Para simplificar la comparación, las dos ecuaciones con intercepto significativo se presentan sin incluir dicho valor.
Dicha diferencia en las pendientes entre cationes monovalentes y divalentes se puede asociar con la mayor densidad de carga y energía de hidratación de los cationes divalentes, lo cual favorece su interacción con las superficies del suelo (Strawn et al. 2020). Como resultado, los cationes divalentes son selectivamente más retenidos en las superficies del suelo, mientras que los monovalentes son liberados más fácilmente ante una dilución. Este fenómeno de retención selectiva es especialmente evidente al comparar la concentración de cationes en los extractos diluidos (1:2,5 y 1:5) respecto a la pasta saturada. Al comparar las concentraciones de cationes entre los extractos (1:2,5) y (1:5), las pendientes son consistentemente cercanas a 0,70 para todos los cationes, lo cual es similar al valor reportado para la relación de CE entre estos mismos extractos (Figura 3A).
Las relaciones de la Figura 8 podrían ser útiles para calcular la Relación de Adsorción de Sodio (RAS) (He et al. 2015, Monteleone et al. 2016, Álvarez Torres et al. 2023), un parámetro clave para diagnosticar problemas de sodicidad en suelos. El RAS indica la relación entre la concentración molar de Na y la concentración molar de Ca + Mg en los extractos de pasta saturada. El valor de referencia común sobre el cual se considera que existen problemas de sodicidad en el suelo es 13%. Sin embargo, los suelos utilizados en esta validación presentan RAS muy por debajo de dicho nivel de referencia, lo que limita la aplicabilidad inmediata de las relaciones de Figura 8 para fines de diagnóstico de sodicidad.
Los resultados del presente estudio contribuyen a estandarizar la interpretación de los resultados de conductividad eléctrica (CE) en suelos de Costa Rica, al establecer la relación entre los valores CE obtenidos mediante el método de pasta saturada (utilizado como referencia en la literatura) y extracciones suelo/agua (1:2,5) y (1:5), utilizadas comúnmente en los laboratorios. Entre las fortalezas del presente estudio se destaca que, la selección de las muestras analizadas garantiza la aplicabilidad de los resultados obtenidos a la mayoría de las condiciones de CE de los suelos de Costa Rica. Además, los resultados de este estudio se ajustan a las metodologías de análisis empleadas rutinariamente en los laboratorios del país.
A partir de los modelos de regresión lineal, se determinaron factores de conversión (fc) de 3,0 ± 0,15 y 4,3 ± 0,30 para convertir los valores de CE(1:2,5) y CE(1:5), respectivamente, a CE del extracto de pasta saturada (CE(e)). Estos fc permitirán de forma práctica identificar condiciones de riesgo para cultivos sensibles y moderadamente sensibles a la salinidad. La interpretación de CE(1:2,5) es particularmente relevante porque permite optimizar el análisis de suelos al combinar la medición de esta variable con la determinación simultánea de pH-H2O, según el método más empleado en Costa Rica.
Otra fortaleza del presente estudio radica en el uso de un robusto set de datos para validar la relación entre CE (dS m-1) y la concentración total de sales solubles (Cs en mmol(+) L-1), usando el factor de proporcionalidad K = 10 reportado en la literatura. Se mostró que este valor de K es aplicable tanto a extractos de suelos como a muestras de aguas analizadas en Costa Rica. Esto demuestra la utilidad de esta relación en contextos agrícolas y ambientales.
Las relaciones significativas entre las concentraciones de cationes solubles (Ca, Mg, K, Na) en los diferentes extractos sugieren que otros parámetros diagnósticos, como la Relación de Adsorción de Sodio (RAS), pueden calcularse fácilmente a partir de mediciones de cationes obtenidas en extracciones (1:2,5) y (1:5). Sin embargo, esto representa una oportunidad de investigación futura, ya que se recomienda validar estas relaciones en suelos con mayor contenido de sodio para evaluar la robustez de este enfoque en contextos con sodicidad significativa.
Finalmente, considerando las limitaciones metodológicas del presente estudio, se recomienda para investigaciones futuras ampliar el rango de valores de CE(e), para el cual se calibra la relación con la CE medida por medio de extracciones. Esto sería de utilidad, particularmente, en condiciones muy específicas de alta salinidad. Asimismo, se podrían desarrollar calibraciones específicas que incorporen el efecto de propiedades del suelo, como textura y mineralogía, con el fin de afinar la predicción de CE(e) y la concentración de cationes solubles en distintos tipos de suelos.
Aboukila, EF; Norton, JB. 2017. Estimation of saturated soil paste salinity from soil-water extracts. Soil Science 182(3):107-113. DOI: http://doi.org/10.1097/SS.0000000000000197
Álvarez Torres, B; Sotomayor Ramírez, DR; Castro Chacón, JP; Martínez Rodríguez, G; Pérez Alegría, LR; DeSutter, TM. 2023. An alternative method to measure electrical conductivity (EC) and sodium adsorption ratio (SAR) in salt-affected soil extracts. Frontiers in Environmental Science 11:1108272. DOI: https://doi.org/10.3389/fenvs.2023.1108272
Alves, AC; de Souza, ER; de Melo, HF; Oliveira Pinto, JG; de Andrade Rego Junior, FE; de Souza Júnior, VS; Adriano Marques, F; do Santos, MA; Schaffer, B; Raj Gheyi, H. 2022. Comparison of solution extraction methods for estimating electrical conductivity in soils with contrasting mineralogical assemblages and textures. Catena 218:106581. DOI: http://doi.org/10.1016/j.catena.2022.106581
Appelo, CAJ; Postma, D. 2004. Geochemistry, groundwater and pollution, 2 ed. (en línea). Leiden, The Netherlands, CRC Press. 1-649 p. DOI: https://doi.org/10.1201/9781439833544
Brezonik, P; Arnold, W. 2011. Water Chemistry: an introduction to the chemistry of natural and engineered aquatic systems. New York, NY, Oxford University Press. 782 p.
Corwin, DL; Yemoto, K. 2020. Salinity: Electrical conductivity and total dissolved solids (en línea). Soil Science Society of America Journal 84(5):1442-1461. DOI: http://doi.org/10.1002/SAJ2.20154
Díaz-Romeu, R; Hunter, A. 1978. Metodologías de muestreo de suelos, análisis químico de suelos y tejido vegetal y de investigaciones en invernadero. Turrialba, Costa Rica, s.e. 70 p.
Endo, T; Abdalla, MA; Elkarim, AKHA; Toyoda, M; Yamamoto, S; Yamanaka, N. 2021. Simplified Evaluation of Salt Affected Soils Using 1:5 Soil–Water Extract (en línea). Communications in Soil Science and Plant Analysis 52(20):2533-2549. DOI: https://doi.org/10.1080/00103624.2021.1953052
FAO. 2021a. Standard operating procedure for saturated soil paste extract. Rome, Italy, s.e.
FAO. 2021b. Standard operating procedure for soil electrical conductivity, soil/water, 1:5. Rome, Italy, s.e.
Gharaibeh, MA; Albalasmeh, AA; El Hanandeh, A. 2021. Estimation of saturated paste electrical conductivity using three modelling approaches: Traditional dilution extracts; saturation percentage and artificial neural networks. Catena 200:105141. DOI: http://doi.org/10.1016/j.catena.2020.105141
Grieve, CM; Grattan, SR; Maas, E V. 2011. Plant salt tolerance. In Wallender, WW; Tanji, KK (eds.). Reston, Virginia, American Society of Civil Engineers (ASCE). p. 405-460. DOI: http://doi.org/10.1061/9780784411698.ch13
Hassani, A; Azapagic, A; Shokri, N. 2021. Global predictions of primary soil salinization under changing climate in the 21st century (en línea). Nature Communications 12(1):1-17. DOI: http://doi.org/10.1038/s41467-021-26907-3
He, Y; DeSutter, T; Prunty, L; Hopkins, D; Jia, X; Wysocki, DA. 2012. Evaluation of 1:5 soil to water extract electrical conductivity methods. Geoderma 185-186:12-17. DOI: http://doi.org/10.1016/j.geoderma.2012.03.022
He, Y; DeSutter, TM; Hopkins, DG; Wysocki, DA; Clay, DE. 2015. Relationship between 1:5 Soil/Water and Saturated Paste Extract Sodium Adsorption Ratios by Three Extraction Methods (en línea). Soil Science Society of America Journal 79(2):681-687. DOI: http://doi.org/10.2136/sssaj2014.09.0384
Kargas, G; Londra, P; Sgoubopoulou, A. 2020. Comparison of soil EC values from methods based on 1:1 and 1:5 soil to water ratios and ECe from saturated paste extract based method (en línea). Water (Switzerland) 12(4):1010. DOI: http://doi.org/10.3390/W12041010
Khorsandi, F; Yazdi, FA. 2007. Gypsum and texture effects on the estimation of saturated paste electrical conductivity by two extraction methods (en línea). Communications in Soil Science and Plant Analysis 38(7-8):1105-1117. DOI: http://doi.org/10.1080/00103620701278120
McCleskey, RB; Nordstrom, DK; Ryan, JN; Ball, JW. 2012. A new method of calculating electrical conductivity with applications to natural waters. Geochimica et Cosmochimica Acta 77:369-382. DOI: http://doi.org/10.1016/J.GCA.2011.10.031
Mendez, JC; Bertsch, F. 2012. Guía para la interpretación de la fertilidad de los suelos de Costa Rica. San Jose, Costa Rica, ACCS. 108 p.
Monteleone, M; Lacolla, G; Caranfa, G; Cucci, G. 2016. Indirect measurement of electrical conductivity and exchangeable cations on soil water extracts: assessing the precision of the estimates (en línea). Soil Science 181(9-10):465-471. DOI: http://doi.org/10.1097/SS.0000000000000181
Omar, MM; Shitindi, MJ; Massawe, BH; Pedersen, O; Meliyo, JL; Fue, KG. 2024. Modeling the electrical conductivity relationship between saturated paste extract and 1:2.5 dilution in different soil textural classes. Front. Soil Sci 4:1421661. DOI: http://doi.org/10.3389/fsoil.2024.1421661
Ozcan, H; Ekinci, H; Yigini, Y; Yuksel, O. 2006. Comparison of four soil salinity extraction methods. Proc. 18th International Soil Meeting on Soil Sustaining Life on Earth, Managing Soil and Technology. p. 697-703.
R Core Team. 2023. R: A language and environment for statistical computing. R Foundation for Statistical Computing, Vienna, Austria. Disponible en https://www.R-project.org/
Rhoades, JD. 1996. Salinity: Electrical conductivity and total dissolved solids (en línea). In Sparks, DL; Page, AL; Helke, RH; Loeppert, PN; Soltanpour, PN; Tabatabai, MA; Johnston, CT; Sumner, ME (eds.). Madison, Wisconsin, USA, SSSA. p. 417-435. DOI: http://doi.org/10.2136/sssabookser5.3.c14
Robinson, RA; Stokes, RH. 2002. Electrolyte solutions. 2 ed. New York, Dover Publications, Inc. 561 p.
Seo, BS; Jeong, YJ; Baek, NR; Park, HJ; Yang, HI; Park, SI; Choi, WJ. 2022. Soil texture affects the conversion factor of electrical conductivity from 1:5 soil-water to saturated paste extracts. Pedosphere 32(6):905-915. DOI: http://doi.org/10.1016/j.pedsph.2022.06.023
Simón, M; García, I. 1999. Physico-chemical properties of the soil-saturation extracts: estimation from electrical conductivity. Geoderma 90(1-2):99-109. DOI: http://doi.org/10.1016/S0016-7061(98)00098-6
Soil Survey Staff. 2022. Kellogg Soil Survey Laboratory Methods Manual. Washington D.C., USA, U.S. Department of Agriculture, Natural Resources Conservation Service. s.p.
Sonmez, S; Buyuktas, D; Okturen, F; Citak, S. 2008. Assessment of different soil to water ratios (1:1, 1:2.5, 1:5) in soil salinity studies. Geoderma 144(1-2):361-369. DOI: http://doi.org/10.1016/j.geoderma.2007.12.005
Spiteri, K; Sacco, AT. 2024. Estimating the electrical conductivity of a saturated soil paste extract (ECe) from 1:1(EC1:1), 1:2(EC1:2) and 1:5(EC1:5) soil: water suspension ratios, in calcareous soils from the Mediterranean Islands of Malta (en línea). Communications in Soil Science and Plant Analysis 55(9):1302-1312. DOI: http://doi.org/10.1080/00103624.2024.2304636
Strawn, DG; Bohn, HL; O’Connor, GA. 2020. Soil chemistry. 5 ed. Hoboken, NJ, John Wiley & Sons. 356 p. DOI: http://doi.org/10.1201/9781351073073
Suarez, DL. 2005. Chemistry of Salt-Affected Soils. In Tabatabai, MA; Sparks, DL (eds.). Madison, Wisconsin, USA, SSSA. p. 689-705. DOI: http://doi.org/10.2136/SSSABOOKSER8.C15
Visconti, F; De Paz, JM; Rubio, JL. 2010a. An empirical equation to calculate soil solution electrical conductivity at 25°C from major ion concentrations. European Journal of Soil Science 61(6):980-993. DOI: https://doi.org/10.1111/j.1365-2389.2010.01284.x
Visconti, F; De Paz, JM; Rubio, JL. 2010b. What information does the electrical conductivity of soil water extracts of 1 to 5 ratio (w/v) provide for soil salinity assessment of agricultural irrigated lands? Geoderma 154(3-4):387-397. DOI: http://doi.org/10.1016/j.geoderma.2009.11.012
Wang, Q; Li, X; Zhao, C; Pei, L; Wan, S. 2023. Evaluation analysis of the saturated paste method for determining typical coastal saline soil salinity. Soil and Tillage Research 225:105549. DOI: http://doi.org/10.1016/j.still.2022.105549
Wichern, J; Wichern, F; Joergensen, RG. 2006. Impact of salinity on soil microbial communities and the decomposition of maize in acidic soils. Geoderma 137(1-2):100-108. DOI: http://doi.org/10.1016/j.geoderma.2006.08.001
![]() |