Agronomía Mesoamericana
Artículo científico
Volumen 36: Artículo jf693w79, 2025
e-ISSN 2215-3608, https://doi.org/10.15517/jf693w79
Lia Ramos-Fernández1, Kevin Gabriel Peralta-Graciano1, David Junior Quispe-Tito1, Lorenzo Hurtado-Leo2, Teodorico Veramendi-Hidalgo2
* Recepción: 14 de octubre, 2024. Aceptación: 3 de abril, 2025. Este trabajo formó parte del proyecto de tesis de grado del segundo autor, financiado por el Área Experimental de Riego y la Unidad de Investigación en Riego de la Universidad Nacional Agraria la Molina (UNALM), Lima, Perú.
1 Universidad Nacional Agraria La Molina, Facultad de Ingeniería Agrícola. Lima, Perú. liarf@lamolina.edu.pe (autor para correspondencia, https://orcid.org/0000-0003-3946-7188); 20120321@lamolina.edu.pe (https://orcid.org/0009-0005-8082-0766); 20211471@lamolina.edu.pe (https://orcid.org/0000-0003-3325-5512).
2 Universidad Nacional Agraria La Molina, Departamento de Suelos. Lima, Perú. lhurtado@lamolina.edu.pe (https://orcid.org/0000-0002-5202-3971); tveramendi@lamolina.edu.pe (https://orcid.org/0000-0001-5832-3716).
Introducción. El monitoreo en tiempo real de los niveles de estrés hídrico en los cultivos es crucial para mejorar la eficiencia del uso del agua en la agricultura. Objetivo. Determinar la viabilidad de utilizar imágenes térmicas capturadas por un vehículo aéreo no tripulado (VANT) para detectar el estrés hídrico en el cultivo de algodón (Gossypium barbadense L.), variedad Molinero extralargo. Materiales y métodos. El estudio se realizó en la Unidad de Investigación en Riego de la Universidad Nacional Agraria La Molina, Lima, Perú, entre noviembre de 2022 y mayo de 2023. Se emplearon 48 unidades de muestreo de 0,80 × 1,5 m con riego por goteo activado en respuesta a señales físicas de estrés hídrico en el algodón. El índice de estrés hídrico de cultivo (IEHC) se monitoreó mediante ocho vuelos de un VANT equipado con una cámara térmica, cuyos datos fueron corregidos con mediciones de un radiómetro. Se midió la conductancia estomática (gs) con un porómetro y la humedad del suelo (θ) con un sensor. Además, se ejecutaron ensayos en macetas para provocar la muerte de la planta y alcanzar el máximo estrés hídrico. Resultados. Se obtuvo una correlación de 0,96 en las imágenes térmicas. Se observó una correlación potencial de 0,83 entre gs e IEHC, y de 0,88 entre θ e IEHC, lo que indicó una adecuada representación de la variabilidad del estrés hídrico con los niveles de riego. Conclusiones. El uso de imágenes térmicas obtenidas con VANT permitió estimar un IEHC máximo de 0,39, optimizar el momento del riego y lograr un ahorro de agua del 50 %. El IEHC demostró ser una herramienta útil para la programación precisa del riego, con potencial para mejorar la eficiencia del uso del agua hasta 2,27 kg/m3 en zonas áridas como La Molina, Perú.
Palabras clave: conductancia estomática, riego intermitente, riego por goteo, vehículo aéreo no tripulado.
Introduction. Real-time monitoring of water stress levels in crops is crucial to improve water use efficiency in agriculture. Objective. To determine the feasibility of using thermal images collected by an unmanned aerial vehicle (UAV) to detect water stress in cotton (Gossypium barbadense L.), Molinero extra-long variety. Materials and methods. The study was conducted at the Irrigation Research Unit of the National Agrarian University La Molina, Lima, Peru, from November 2022 to May 2023. Forty-eight sampling units of 0.80 × 1.5 m were used with drip irrigation activated in response to physical signs of water stress in cotton. The crop water stress index (CWSI) was monitored through eight UAV flights equipped with a thermal camera, and the data were corrected using radiometer measurements. Stomatal conductance (gs) was measured using a porometer, and soil moisture (θ) with a sensor. In addition, tests were carried out in pots to cause plant death and induce maximum water stress. Results. A 0.96 correlation was obtained for the thermal images. A potential 0.83 correlation between gs and CWSI was observed, along with a 0.88 between θ and CWSI, indicating an adequate representation of water stress variability with irrigation levels. Conclusions. The use of thermal images obtained via UAV allowed estimating a maximum CWSI of 0.39, optimizing irrigation timing and achieving water savings of 50 %. The CWSI proved to be a valuable tool for accurate irrigation scheduling, with potential to improve water use efficiency up to 2.27 kg/m3 in arid regions such as La Molina, Peru.
Keywords: Stomatal conductance, intermittent irrigation, drip irrigation, unmanned aerial vehicle.
El algodón es un cultivo de gran valor agrícola e industrial a nivel mundial. En conjunto, cerca de 100 países destinan a su siembra el 2,5 % de la superficie cultivable global, lo cual lo sitúa entre los cultivos más relevantes en cuanto a uso del suelo (Gutiérrez Hernández, 2021). Para el año 2050 se proyecta un aumento de 1,9 billones en la población mundial, lo que incrementará la demanda de alimentos, fibras y combustibles (United Nations, 2021). En este contexto, el algodón emerge como el cultivo no alimentario más demandado en términos de suministro de fibra natural (Umer Arshad et al., 2022), hecho que subraya la importancia de su desarrollo para satisfacer las necesidades futuras y garantizar la economía global.
Entre los países de origen del algodón, Perú alberga la especie Gossypium barbadense L., una de las cuatro especies más reconocidas (Gavkharoy & Dilobar Botirjon, 2023). Sin embargo, entre las principales naciones productoras en vías de desarrollo, la productividad de este cultivo es menor debido a factores socioecológicos (Umer Arshad et al., 2022). En 2021, Perú ocupó el puesto 46 en términos de producción, pero en el 2007 había alcanzado la posición 29, su mayor rendimiento en el siglo XXI (Food and Agriculture Organization of the United Nations, n.d.). Además, se sembraron 6945 hectáreas de algodón en la campaña 2022-2023, lo que representó un incremento del 11 % respecto a la campaña anterior (León Carrasco, 2023). A pesar de una reducción en el área de siembra en los últimos años, se proyecta un aumento de 9109 hectáreas en la campaña 2023-2024 (Ministerio de Desarrollo Agrario y Riego, 2023).
El cultivo de algodón es sensible a las variaciones climáticas, lo cual requiere una gestión específica del agua (Almeida Martins et al., 2023; McCarthy et al., 2023). Este desafío se agrava por el cambio climático, que no solo afectará a la agricultura en general, sino que tendrá consecuencias en la producción de cultivos como el algodón (Centro de Comercio Internacional, 2011). Adaptarse a estas nuevas condiciones, requerirá una transformación integral, que incluirá modificaciones en el calendario de siembra, adopción de tecnologías avanzadas y desarrollo de variedades resistentes a la sequía (Vaddula & Singh, 2023).
En la agricultura, es vital emplear técnicas modernas para detectar el estrés hídrico y mitigar sus efectos negativos sobre la productividad de los cultivos (Nhamo et al., 2020). El estrés hídrico ocurre cuando la evapotranspiración supera la cantidad de agua disponible en el suelo y la capacidad de absorción de la raíz, lo cual reduce la tasa de transpiración debido al cierre estomático y, por consiguiente, aumenta la temperatura de la planta (Camino et al., 2018; Villar Barraza et al., 2021). Entre los principales indicadores utilizados para evaluar el estrés hídrico en los cultivos destacan las respuestas fisiológicas, como la conductancia estomática, la humedad volumétrica del suelo, el potencial hídrico y el índice de estrés hídrico de cultivo (IEHC) (Villar Barraza et al., 2021).
La estimación del IEHC tiene como base la normalización de la diferencia de temperatura entre el cultivo y el aire (Tc − Ta) y la demanda evaporativa, representada por el déficit de presión de vapor (DPV) del aire (Durán et al., 2021). La relación Tc-Ta se evalúa bajo dos condiciones límite o umbrales (Godson-Amamoo et al., 2022; Messina & Modica, 2020; Parkash & Singh, 2020). El umbral inferior representa una condición ideal sin estrés hídrico, mientras que el umbral superior representa una condición de estrés hídrico.
El objetivo de este estudio fue determinar la viabilidad de utilizar imágenes térmicas capturadas por un vehículo aéreo no tripulado (VANT) para detectar el estrés hídrico en el cultivo de algodón (Gossypium barbadense L.), variedad Molinero extralargo.
El estudio se llevó a cabo en la Unidad de Investigación en Riego de la Universidad Nacional Agraria La Molina (UNALM), ubicada en el distrito de La Molina, provincia y región Lima, en la costa central del Perú (coordenadas: 12°04'50"S; 76°57'O) a una altitud de 244 m (Figura 1). El área pertenece a la formación ecológica desierto desecado subtropical (dd-S) según la clasificación de zonas de vida de Holdridge (Sabino et al., 2019).
Figura 1. Ubicación y distribución de parcelas en la Unidad de Investigación en Riego de la Universidad Nacional Agraria La Molina, Lima, Perú, de noviembre de 2022 a mayo de 2023.
PCT: Puntos de control.
Figure 1. Location and distribution of plots in the Irrigation Research Unit of the National Agrarian University La Molina, Lima, Peru, from November 2022 to May 2023.
PCT: Control points.
El periodo experimental comprendió de noviembre de 2022 a mayo de 2023, durante el cual se registró una precipitación acumulada de 27,8 mm y una temperatura máxima y mínima mensual de 32 ºC y 14,2 °C, respectivamente (Figura 2). Estos valores fueron obtenidos de la estación meteorológica Von Humboldt, UNALM.
Figura 2. Variación mensual de la temperatura máxima, la temperatura mínima y la precipitación acumulada durante el monitoreo del cultivo de algodón (Gossypium barbadense L.), variedad Molinero extralargo. Unidad de Investigación en Riego de la Universidad Nacional Agraria La Molina, Lima, Perú, de noviembre de 2022 a mayo de 2023.
Figure 2. Monthly variation of maximum temperature, minimum temperature and accumulated precipitation during the monitoring of cotton crop (Gossypium barbadense L.), extra-long Molinero variety. Irrigation Research Unit of the National Agrarian University La Molina, Lima, Peru, from November 2022 to May 2023.
El agua empleada para regar el cultivo provino de la red municipal de agua de la UNALM. Se implementó un sistema de riego por goteo que incluía un arco de riego (Figura 3a), encargado de distribuir el agua hacia doce laterales de polietileno (PE) de 16 mm de diámetro. Cada lateral estaba equipado con emisores Katiff con una descarga promedio de 2,3 L/h que aseguraba una distribución uniforme del agua sobre el cultivo. Las separaciones entre las laterales de riego y los emisores fueron de 1,25 m y 0,30 m, respectivamente (Figuras 3b, 3c).
Figura 3. (a) Arco de riego y sus componentes, (b) distanciamiento entre laterales y (c) distanciamiento entre goteros de una lateral durante el monitoreo del cultivo de algodón (Gossypium barbadense L.), variedad Molinero extralargo. Unidad de Investigación en Riego de la Universidad Nacional Agraria La Molina, Lima, Perú, de noviembre de 2022 a mayo de 2023.
Ø: Diámetro. PVC: Cloruro de polivinilo. PAD: Polietileno de alta densidad.
Figure 3. (a) Irrigation arc and its components, (b) spacing between laterals, and (c) spacing between emitters on a lateral during cotton crop monitoring (Gossypium barbadense L.), extra-long Molinero variety. Irrigation Research Unit of the National Agrarian University La Molina, Lima, Peru, from November 2022 to May 2023.
Ø: Diameter. PVC: Polyvinyl chloride. PAD: High density polyethylene.
La estrategia de riego se basó en la eficiencia del uso del agua al aplicarse ante la aparición de señales de estrés hídrico en el cultivo. La ausencia de estrés hídrico y la máxima transpiración se evidencian por las hojas turgentes, erguidas y de color verde brillante en el tercio superior de la planta, con la yema expuesta al sol (Figura 4a), mientras que en condiciones de estrés hídrico las hojas pasan de brillantes a opacas. Las huellas de las plantas deshidratadas permanecen visibles en lugar de recuperarse, ya que las hojas no retornan a su posición vertical habitual.
Figura 4. (a) Planta de algodón sin estrés hídrico (IEHC = 0) y (b) planta de algodón con estrés hídrico (IEHC = 1). Unidad de Investigación en Riego de la Universidad Nacional Agraria La Molina, Lima, Perú, de noviembre de 2022 a mayo de 2023
IEHC: Índice de estrés hídrico de cultivo.
Figure 4. (a) Cotton plant without water stress (CWSI = 0) and (b) cotton plant with water stress (CWSI = 1). Irrigation Research Unit of the National Agrarian University La Molina, Lima, Peru, from November 2022 to May 2023.
CWSI: Crop water stress index.
En situaciones de estrés hídrico prolongado, las plantas pueden sufrir marchitamiento irreversible o detener su crecimiento, además de presentar una reducción en el rendimiento y decoloración en hojas, botones florales y flores (Muhammad & Abdul, 2018) (Figura 4b). Las huellas en la planta marchita persisten en lugar de desaparecer a medida que las nuevas hojas brotan en posición vertical. Bajo tales condiciones, el cultivo requiere la aplicación inmediata de riego para mantener un desarrollo óptimo.
Los riegos se programaron al observar síntomas de estrés en la planta, con una frecuencia de riego que osciló entre 5 y 9 días hasta el último riego, aplicado en la fase de apertura de bellotas, con una duración de 20 min. Durante la fase vegetativa, reproductiva y de maduración, se aplicaron láminas acumuladas de 54 mm (5 riegos), 130 mm (12 riegos) y 65 mm (6 riegos), respectivamente, las cuales no variaron con las distintas densidades de siembra.
El riego final se realizó a los 158 días después de la siembra (DDS), debido a las bajas temperaturas (Figura 5a). Se estimó la eficiencia de uso del agua y se relacionó su consumo con el rendimiento bajo diferentes dosis de fertilización con nitrógeno, fósforo y potasio (NPK, 0-0-0, 160-80-200 y 320-160-400 kg/ha) y con distintas densidades de siembra (40 000, 45 000, 50 000 y 55 000 plantas/ha).
Figura 5. (a) Fechas de riego y captura de imágenes con vehículo aéreo no tripulado, y (b) fenología del desarrollo del cultivo. Unidad de Investigación en Riego de la Universidad Nacional Agraria La Molina, Lima, Perú, de noviembre de 2022 a mayo de 2023.
VANT: Vehículo aéreo no tripulado. NCTR: Navegación cinética en tiempo real.
Figure 5. (a) Irrigation dates and unmanned aerial vehicle image capture, and (b) crop development phenology. Irrigation Research Unit of the National Agrarian University La Molina, Lima, Peru, from November 2022 to May 2023.
VANT: Unmanned aerial vehicle. NCTR: Real time kinematic.
La siembra se llevó a cabo de forma directa en noviembre de 2022 con la variedad Molinero extralargo, obtenida en el Programa de Investigación y Proyección Social (PIPS) en algodonero de la UNALM, resultado del cruzamiento de las variedades Tangüis y Pima. La variedad se caracteriza por su fibra extralarga (>38 mm), color blanco brillante, resistencia (>36 g/Tex) y finura (<4,5 micronaire). La fase de emergencia duró de 5 a 8 DDS, los botones florales aparecieron a los 38 DDS, la apertura de las primeras flores ocurrió a los 78 DDS, la fructificación a los 113 DDS, la apertura de primeras bellotas a los 140 DDS, la apertura del 70 a 80 % de bellotas entre los 160 y 170 DDS, la maduración del 20 al 30 % de bellotas de 180 a 200 DDS y la cosecha a 210 DDS (Figura 5b).
El agua de riego presentó un pH de 6,9 y una conductividad eléctrica (CE) de 3,2 dS/m. Su clasificación fue de C4-S1, con bajo contenido de sodio y salinidad muy alta, y una relación de adsorción de sodio (RAS) de 3,4 (Olías et al., 2005). El suelo fue de textura franco-arenosa, con 64 % de arena, 18 % de limo y 18 % de arcilla. La humedad volumétrica a capacidad de campo fue de 31 % y a punto de marchitez de 15 %, lo que dejó un 16 % de agua disponible para las plantas. La densidad aparente del suelo fue de 1,45 g/cm3. Estas evaluaciones se realizaron en el Laboratorio de Análisis de Suelos, Agua y Plantas de la UNALM.
La conductancia estomática se midió con un porómetro, marca Decagon, modelo SC-1 (METER Group, Pullman, Washington, Estados Unidos). Se ejecutaron tres mediciones por unidad de muestreo, al colocar el dosel de la hoja sobre el cabezal del sensor entre la cámara secante, orientada hacia abajo. El dispositivo midió el vapor de agua emitido por los estomas al entorno, en un intervalo de 0 a 1000 mmol/m2/s, con una exactitud del 10 %, operando a temperaturas entre 5 y 40 °C, y soportando una humedad relativa de hasta el 100 %.
Se realizaron mediciones con el porómetro en una hoja de la periferia del dosel y en buenas condiciones. Las mediciones horarias de gs se efectuaron entre las 6:00 y las 18:00 horas en plantas con y sin características físicas de estrés hídrico. Los valores máximos de gs se presentaron entre las 8:00 y 9:00 para cultivos con estrés y entre las 12:00 y 13:00 horas para cultivos sin estrés (Figura 6). Se definió que la hora de vuelo debía ser en este intervalo, acorde con otros estudios (Lacerda et al., 2022; Zhang et al., 2019).
Figura 6. Variación horaria de la conductancia estomática (gs) en el cultivo de algodón sin y con estrés hídrico. Unidad de Investigación en Riego de la Universidad Nacional Agraria La Molina, Lima, Perú, de noviembre de 2022 a mayo de 2023.
gs: conductancia estomática.
Figure 6. Hourly variation of stomatal conductance (gs) in cotton crop without and with water stress. Irrigation Research Unit of the National Agrarian University La Molina, Lima, Peru, from November 2022 to May 2023.
gs: stomatal conductance.
Se monitoreó la temperatura del cultivo utilizando una cámara termográfica. La cámara permite la captura de imágenes térmicas y ópticas (RGB, TIF y radiométrica) con un lente de 58 mm y una frecuencia de 30 Hz, para registrar temperaturas en un rango de 8-14 mμ. Las imágenes tenían una resolución de 640 × 512 píxeles y una precisión de ±2 °C a una temperatura ambiente de 25 °C sin viento, a 5 m del cuerpo negro. La cámara se acopló a un VANT cuadricóptero. Se recolectaron datos a 61, 71, 72, 78, 87, 98, 126 y 183 DDS en condiciones de cielo despejado entre las 12:00 y 13:00 horas (Figura 7).
Figura 7. (a) Ortomosaico RGB y térmico a 87 días después de la siembra (DDS), y (b) imagen RGB y térmica, vista frontal, a 87 DDS. Unidad de Investigación en Riego de la Universidad Nacional Agraria La Molina, Lima, Perú, de noviembre de 2022 a mayo de 2023.
Figure 7. (a) RGB and thermal orthomosaic at 87 days after sowing (DAS), and (b) RGB and thermal image, frontal view, at 87 DAS. Irrigation Research Unit of the National Agrarian University La Molina, Lima, Peru, from November 2022 to May 2023.
El plan de vuelo se programó con el programa informático DJI-pilot, y se estableció una superposición frontal del 85 % y lateral del 80 %, a una altura de 30 m, velocidad de vuelo de 1,2 m/s y tiempo de captura de imágenes de 2 minutos. Para la georreferenciación de las imágenes térmicas, se distribuyeron en campo tres puntos de control con tableros dominó de color amarillo y negro, cubiertos con papel aluminio en el sector amarillo. La generación de ortomosaicos se realizó con el programa fotogramétrico Pix4Dmapper, y se llevaron a cabo los siguientes pasos: (i) alineación de imágenes geolocalizadas, (ii) generación de nubes de puntos y corrección geométrica, y (iii) generación del modelo digital de superficie y ortomosaico (Figura 7a).
Los valores de temperatura de las imágenes térmicas se calibraron utilizando un radiómetro. Se midió la temperatura a una altura de 40 cm sobre nueve coberturas conocidas (aluminio, vegetación muerta, vegetación viva, poliestireno expandido, tela amarrilla, tela negra, tela roja, tela verde y suelo desnudo), enmarcadas en un marco de PVC de 1 m × 1 m. Se colectaron 81 lecturas por cada monitoreo, en simultáneo con cada vuelo del VANT, y se obtuvo un total de 648 lecturas.
La incorporación de los datos del radiómetro en el análisis de las imágenes térmicas fue esencial para ajustar los datos de manera más precisa. La sensibilidad de las imágenes térmicas a la humedad ambiental destacó la importancia de esta corrección para evitar distorsiones. Los resultados obtenidos, respaldados por una ecuación general y un coeficiente de correlación significativo, validaron la eficacia de este enfoque para mejorar la exactitud de los datos térmicos recopilados (Figura 8).
Figura 8. Relación entre las temperaturas registradas por el radiómetro Apogee MI-210 y la cámara térmica H20T durante el monitoreo del cultivo de algodón variedad Molinero extralargo (Gossypium barbadense L.). Unidad de Investigación en Riego de la Universidad Nacional Agraria La Molina, Lima, Perú, de noviembre de 2022 a mayo de 2023.
DDS: Días después de la siembra.
Figure 8. Relationship between temperatures recorded by the Apogee MI-210 radiometer and the H20T thermal camera during the monitoring of extra-long Molinero variety cotton crop (Gossypium barbadense L.). Irrigation Research Unit of the National Agrarian University La Molina, Lima, Peru, from November 2022 to May 2023.
DDS: Days after sowing.
Durante la recolección de datos en campo, se implementó una estación meteorológica portátil conectada a un data logger para recopilar información meteorológica esencial, tal como la radiación solar (Rs, en W/m2), la temperatura del aire (Ta, en °C), la humedad relativa (HR, en %) y la velocidad del viento (Vv, en m/s). Estos datos se registraron con una alta precisión de 1 W/m2 para la radiación solar, 0,1 °C para la temperatura del aire, 0,1 % para la humedad relativa y 0,01 m/s para la velocidad del viento. Los registros se realizaron simultáneamente con el monitoreo mediante el VANT (Figura 9). Además, con la información de temperatura del aire y humedad relativa se estimó el DPV a partir de la ecuación 1.
Figura 9. Variables meteorológicas durante el monitoreo del cultivo de algodón de fibra extralarga, variedad Molinero (Gossypium barbadense L.). Unidad de Investigación en Riego de la Universidad Nacional Agraria La Molina, Lima, Perú, de noviembre de 2022 a mayo de 2023.
Rs: Radiación solar. Ta: Temperatura del aire. RH: Humedad relativa. Vv: Velocidad del viento. DDS: Días después de la siembra.
Figure 9. Meteorological variables during the monitoring of extra-long staple cotton crop, Molinero variety (Gossypium barbadense L.). Irrigation Research Unit of the National Agrarian University La Molina, Lima, Peru, from November 2022 to May 2023.
Rs: Solar radiation. Ta: Air temperature. RH: Relative humidity. Vv: Wind speed. DDS: Days after sowing.
(1)
Donde, HR es la humedad relativa (%) y Ta la temperatura del aire (C°).
Con un sensor portátil de humedad de suelo, se efectuaron tres lecturas de θ por parcela a una profundidad de 0,20 m. Este sensor fue calibrado mediante mediciones gravimétricas y de densidad aparente. La ecuación 2 de calibración con un r = 0,916 fue:
Y = 0,7806X – 9,09896 (2)
Donde X corresponde a la lectura realizada por el sensor de humedad del suelo, y el valor de Y es el producto de la humedad gravimétrica por la densidad aparente medida en campo.
Los umbrales de estrés hídrico se determinaron a partir de condiciones extremas, evaluadas en doce macetas distribuidas por fase fenológica, es decir tres por fase. En general, las macetas recibieron riego continuo al inicio; luego este se interrumpió para generar condiciones extremas hasta la muerte de la planta. Se recolectó información sobre la temperatura del cultivo de cada maceta con sensores térmicos de termopar (SST) tipo “T”, en los que se instalaron dos sensores. Se registraron temperaturas de 24 sensores que se almacenaron a través del colector. En simultáneo, se monitoreó la humedad del suelo con sensores GS1 almacenados con colector. Se llevaron a cabo mediciones puntuales de gs al mediodía en condiciones de cielo despejado.
Se analizó la relación entre el DPV y la diferencia de temperatura entre el cultivo y el aire (Tc − Ta), para establecer los umbrales de estrés hídrico. El umbral mínimo o límite inferior (LI) se definió mediante la ecuación 3, que representa la máxima transpiración (estomas abiertos). El límite superior (LS), que indica la mínima transpiración (estomas cerrados) bajo condiciones de máxima tensión hídrica, se expresa como una constante en la ecuación 4. Estos umbrales son críticos para evaluar el estado hídrico de los cultivos en distintas condiciones.
(Tc – Ta)LI = aDPV + b (3)
(Tc – Ta)LS = K (4)
Donde (Tc – Ta)LI es la diferencia entre la temperatura del cultivo y la temperatura del aire en condiciones sin estrés hídrico; a (pendiente) y b (intercepto) son los parámetros de ajuste de la regresión lineal simple; DPV es el déficit de presión de vapor, expresado en kPa; (Tc – Ta)LS es la diferencia entre la temperatura del cultivo y la temperatura del aire bajo máximo estrés hídrico, y K representa una constante.
El índice de estrés hídrico del cultivo (IEHC) fue calculado según la ecuación 5, con base en lo propuesto por Idso et al. (1981).
(5)
Donde Tc es la temperatura del cultivo (°C); Ta es la temperatura del aire; (Tc – Ta)LI, es la diferencia de temperatura del cultivo y el aire en condiciones óptimas de riego, y (Tc – Ta)LS, es la diferencia de temperatura del cultivo y el aire en condiciones de escasez hídrica.
Las ecuaciones que definen la línea base superior (LS) y la línea base inferior (LI) en situaciones de máximo y mínimo estrés hídrico, respectivamente, se presentan en la Figura 10. El valor de LS varía según el DPV: para valores menores de 1,1 kPa es de 6 °C; entre 1,1 y 1,5 kPa es de 8 °C, y para valores mayores de 1,5 kPa es de 11 °C. La ecuación para el LI se determinó como y = −0,83 DPV − 0,1604.
Figura 10. Umbrales de estrés hídrico: máximo estrés (línea roja) y mínimo estrés (línea azul). Unidad de Investigación en Riego de la Universidad Nacional Agraria La Molina, Lima, Perú. Campaña de cultivo de algodón de noviembre de 2022 a mayo de 2023.
DPV: Déficit de presión de vapor. Tc: Temperatura del cultivo. Ta: Temperatura del aire.
Figure 10. Water stress thresholds: maximum stress (red line) and minimum stress (blue line). Irrigation Research Unit of the National Agrarian University La Molina, Lima, Peru. Cotton cultivation campaign from November 2022 to May 2023.
DPV: Vapor pressure deficit. Tc: Crop temperature. Ta: Air temperature.
La relación entre la gs y el IEHC se observa en la Figura 11a, donde se presenta una relación exponencial: y = 35,81x-1,42, con un coeficiente de correlación de Pearson (r) de 0,82. Sin embargo, para un IEHC = 0,39, se obtiene un gs promedio de 138,9 mmol/m2/s. Por otro lado, se evidencia una relación exponencial entre θ y el IEHC (Figura 11b), representada por la ecuación y = 2,70x-0,65, con un r de 0,88. Las mediciones de θ, la gs y el IEHC obtenidas en cada día después de la siembra se muestran en la Figura 12.
Figura 11. (a) Relación entre el índice de estrés hídrico (IEHC) y la conductancia estomática (gs), y (b) relación entre el IEHC y la humedad del suelo (θ) durante el monitoreo del cultivo de algodón (Gossypium barbadense L.). Unidad de Investigación en Riego de la Universidad Nacional Agraria La Molina, Lima, Perú, de noviembre de 2022 a mayo de 2023.
Figure 11. (a) Relationship between crop water stress index (IEHC) and stomatal conductance (gs), and (b) relationship between CWSI and soil moisture (θ) during the monitoring of cotton crop (Gossypium barbadense L.). Irrigation Research Unit of the National Agrarian University La Molina, Lima, Peru, from November 2022 to May 2023.
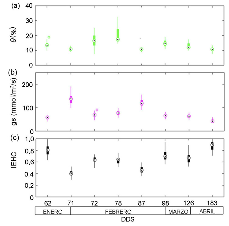
Figura 12. Variación temporal de (a) humedad del suelo (θ), (b) conductancia estomática (gs), y (c) índice de estrés hídrico de cultivo (IEHC). Unidad de Investigación en Riego de la Universidad Nacional Agraria La Molina, Lima, Perú, de noviembre de 2022 a mayo de 2023.
Figure 12. Temporal variation of (a) soil moisture (θ), (b) stomatal conductance (gs), and (c) crop water stress index (IEHC). Irrigation Research Unit of the National Agrarian University La Molina, Lima, Peru, from November 2022 to May 2023.
El consumo de agua de riego fue de 2490 m3/ha, distribuido en 23 riegos, con láminas de 54 mm en la etapa vegetativa, 130 mm en la etapa reproductiva y 65 mm en la etapa de maduración. La eficiencia de uso de agua obtuvo valores ( ± S) de (1,59 ± 0,39) kg/m3, en un rango de 0,915 a 2,274 kg/m3, con valores máximos para una densidad de 55 000 plantas/ha y una dosis de fertilización de NPK (320-160-400 kg/ha) (Figura 13). La relación entre el rendimiento (kg/ha) y el IEHC se observa en la Figura 14. Además, se aprecia que el monitoreo a los 62 DDS resultó en un mayor IEHC, resultado asociado a la ausencia de riego durante cinco días previos en noviembre.
Figura 13. Eficiencia de uso de agua (EUA) según densidad de planta (plantas/ha) y dosis de fertilización (nitrógeno, fósforo y potasio). Unidad de Investigación en Riego de la Universidad Nacional Agraria La Molina, Lima, Perú, de noviembre de 2022 a mayo de 2023.
Figure 13. Water use efficiency (EUA) according to plant density (plants/ha) and fertilization dose (nitrogen, phosphorus, and potassium). Irrigation Research Unit of the National Agrarian University La Molina, Lima, Peru, from November 2022 to May 2023.
Figura 14. Relación entre el rendimiento (kg/ha) y el índice de estrés hidrico de cultivo (IEHC). Unidad de Investigación en Riego de la Universidad Nacional Agraria La Molina, Lima, Perú, de noviembre de 2022 a mayo de 2023.
DDS: Días después de la siembra.
Figure 14. Yield ratio (kg/ha) and crop water stress index (IEHC). Irrigation Research Unit of the National Agrarian University La Molina, Lima, Peru, from November 2022 to May 2023.
DDS: Days after sowing.
La mayor dosis de fertilizacion de NPK (320-160-400) y la mayor densidad de plantas favorecieron un incremento del rendimiento, alcanzando 5500 kg/ha.
Existe una correlación exponencial inversa entre la conductancia estomática (gs) y el índice de estrés hídrico de cultivo (IEHC) (Figura 11a), que indica que una menor cantidad de agua en el suelo se traduce en una transpiración reducida, lo que provoca un incremento en la temperatura del dosel vegetal (Barbosa da Silva & Ramana Rao, 2005). Esta condición está influenciada por la temperatura del aire y el déficit de presión de vapor atmosférico, factores determinantes en los límites de estrés hídrico máximo y mínimo, esenciales para el cálculo del IEHC (Sánchez-Díaz & Aguirreolea, 2008). Por otro lado, se observa una gs mínima relativamente constante a partir de IEHC >0,68 (Figura 11a), lo cual significa que el estoma no se cierra por completo. Lo anterior podría deberse a un sistema radicular bien desarrollado que permite al algodón resistir el estrés hídrico (Inamullah & Isoda, 2005; Isoda & Wand, 2002).
Se consideró una reducción de cerca del 50 % del agua disponible para activar el riego, lo que corresponde a una humedad del suelo del 20 %. Además, se obtuvo un valor de IEHC de 0,39, que podría ser un indicador para activar el riego (Barbosa da Silva & Ramana Rao, 2005), y que generó una gs de 137 mmol/m2/s (Figura 11a y 11b). Esta relación exponencial inversa entre el IEHC y la gs constituye un potencial para relacionar la activación del riego con el comportamiento del cultivo (Durán et al., 2021), influenciada por las condiciones climáticas (Lacerda et al., 2022; Zhang et al., 2019).
Las plantas mostraron un alto nivel de estrés hídrico cuando no se regaron durante varios días consecutivos. En la colecta de imágenes del día 62, el cultivo había pasado diez días sin riego (preacondicionamiento al estrés), como ocurrió en los días 126 y 183 después de la siembra. Cuando se aplicó riego un día después de este período de sequía, el estrés no desapareció de inmediato.
En condiciones normales, un día después del riego, las plantas deberían presentar un nivel mínimo de estrés hídrico, reflejado en un IEHC bajo. Sin embargo, en los días 72, 78 y 98 después de la siembra, los valores de IEHC se mantuvieron elevados (Figuras 12c y 14), a pesar de haberse regado un día antes. Este fenómeno puede atribuirse a que la recuperación de la tasa de transpiración a niveles normales es un proceso gradual (Barbosa da Silva & Ramana Rao, 2005). Por esta razón, se recomienda capturar las imágenes térmicas (Figura 7) dos días después del riego (O’Shaughnessy et al., 2011), de modo que las plantas hayan tenido tiempo suficiente para recuperarse.
En el día 71 después de la siembra, se observaron valores mínimos de IEHC, lo cual indica ausencia de estrés hídrico, a pesar de no haberse realizado un riego previo. Este comportamiento se explica por la baja radiación solar registrada ese día (Figura 9), que redujo la demanda hídrica de las plantas.
El consumo de agua de 2480 m3/ha obtenido bajo riego por goteo fue influenciado por el ciclón tropical Yaku, ocurrido del 7 al 18 de marzo de 2023, que facilitó la entrada y acumulación de humedad en la zona de estudio (Servicio Nacional de Meteorología e Hidrología del Perú, 2023). El fenómeno provocó lluvias intensas que alteraron las condiciones de humedad del suelo; por ende, se redujo el riego en los días posteriores. Este consumo de agua de 2480 m3/ha está acorde a los resultados de Hou et al. (2022) con 80 % de evapotranspiración del cultivo (ETc) bajo condiciones de clima árido.
Se observó una eficiencia de uso del agua mayor que 1,5 kg/m3 con una densidad de 55 000 plantas/ha, en consonancia con lo reportado por Hou et al. (2022). Este hallazgo se obtuvo con una dosis de fertilización de 320-160-400 kg/ha y con variaciones de 60 a 120 % de ETc. En contraste, los resultados de eficiencia de uso del agua menor que 1,5 kg/m3 correspondieron a una densidad de 40 000 plantas/hectárea sin fertilización (Figura 13). Además, se encontró que a mayor dosificación de nitrógeno, fósforo y potasio se alcanzó una mayor densidad de planta.
El uso de imágenes térmicas obtenidas mediante vehículos aéreos no tripulados resultó viable para detectar el estrés hídrico en el cultivo de algodón (Gossypium barbadense L.), variedad Molinero extralargo. Las imágenes posibilitaron la estimación de un índice de estrés hídrico de cultivo (IEHC), lo que permitió programar el riego con un ahorro de agua del 50 %.
Los resultados demuestran que el IEHC es una herramienta prometedora para planificar el riego con monitoreo preciso del estrés hídrico, acompañado de una mayor dosis de fertilización con nitrógeno, fósforo y potasio (320-160-400) y de una densidad de siembra de 55 000 plantas/ha. Esto sugiere que el uso del IEHC tiene potencial para mejorar la eficiencia en el aprovechamiento del agua en zonas áridas con condiciones similares a las de La Molina, Perú.
Los autores agradecen al Área Experimental de Riego de la Facultad de Ingeniería Agrícola y al Área de Investigación en Riego de la Facultad de Agronomía, ambos de la Universidad Nacional Agraria La Molina, por financiar y apoyar el desarrollo de esta investigación.
Los autores declaran no tener conflicto de intereses.
Almeida Martins, I., Sentelhas, P., & Helvécio Martins, J. (2023). Quality of cotton fiber and its relationship with meteorological conditions. Global Journal of Engineering and Technology Advances, 15(2), 33–51. https://doi.org/10.30574/gjeta.2023.15.2.0082
Barbosa da Silva, B., & Ramana Rao, T. V. (2005). The CWSI variations of a cotton crop in a semi-arid region of Northeast Brazil. Journal of Arid Environments, 62(4), 649–659. https://doi.org/10.1016/j.jaridenv.2005.01.017
Camino, C., Zarco-Tejada, P. J., & González-Dugo, V. (2018). Effects of heterogeneity within tree crowns on airborne-quantified SIF and the CWSI as indicators of water stress in the context of precision agriculture. Remote Sensing, 10(4), Article 604. https://doi.org/10.3390/rs10040604
Centro de Comercio Internacional. (2011, June 17). Algodón y cambio climático: su impacto y opciones para mitigarlo y aclimatar la producción. https://intracen.org/es/recursos/publicaciones/algodon-y-cambio-climatico-su-impacto-y-opciones-para-mitigarlo-y-aclimatar
Durán, M., Ramos, F. L., Alvarado, R., & Altamirano, L. (2021). Evaluación del índice de estrés hídrico de cultivos (IEHC) en ají (Capsicum) bajo riego por goteo en las condiciones áridas de la costa norte del Perú. Scientia Agropecuaria, 12(4), 481–489. http://dx.doi.org/10.17268/sci.agropecu.2021.052
Food and Agriculture Organization of the United Nations. (n. d.). FAOSTAT. Crops and livestock products. Retrieved February 23, 2023, from https://www.fao.org/faostat/en/” \l “data/QCL
Gavkharoy, O., & Dilobar Botirjon, F. (2023). History of cotton and characteristics of origin. Ijtimoiy Fanlarda Innovasiya Onlayn Ilmiy Jurnali, 3(6), 117–121. http://www.sciencebox.uz/index.php/jis/article/view/7650
Godson-Amamoo, S., Kato, T., & Katsura, K. (2022). Empirical setting of the water stressed baseline increases the uncertainty of the crop water stress index in a humid temperate climate in different water regimes. Water, 14(12), Article 1833. https://doi.org/10.3390/w14121833
Gutiérrez Hernández, M. (2021). Aspectos económicos de la producción de algodón en México [Tesis doctoral en Ciencias en Economía Agrícola, Universidad Autónoma Chapingo]. Repositorio Chapingo. https://repositorio.chapingo.edu.mx/items/ad673367-5309-42ac-8c05-b8be6d210d02
Hou, X., Fan, J., Zhang, F., Hu, W., Yan, F., Xiao, C., Li, Y., & Cheng, H. (2022). Determining water use and crop coefficients of drip-irrigated cotton in south Xinjiang of China under various irrigation amounts. Industrial Crops and Products, 176, Article 114376. https://doi.org/10.1016/j.indcrop.2021.114376
Idso, S. B., Jackson, R. D., Pinter Jr, P. J., Reginato, R. J., & Hatfield, J. L. (1981). Normalizing the stress-degree-day parameter for environmental variability. Agricultural Meteorology, 24, 45–55. https://doi.org/10.1016/0002-1571(81)90032-7
Inamullah, & Isoda, A. (2005). Adaptive responses of soybean and cotton to water stress: I. Transpiration changes in relation to stomatal area and stomatal conductance. Plant Production Science, 8(1), 16–26. https://doi.org/10.1626/pps.8.16
Isoda, A., & Wang, P. (2002). Leaf temperature and transpiration of field grown cotton and soybean under arid and humid conditions. Plant Production Science, 5(3), 224–228. https://doi.org/10.1626/pps.5.224
Lacerda, L. N., Snider, J. L., Cohen, Y., Liakos, V., Gobbo, S., & Vellidis, G. (2022). Using UAV-based thermal imagery to detect crop water status variability in cotton. Smart Agricultural Technology, 2, Article 100029. https://doi.org/10.1016/j.atech.2021.100029
León Carrasco, J. C. (2023, 9 de octubre). Perú sembró 6.945 hectáreas de algodón en la campaña 2022/2023, mostrando un incremento de +11% respecto a la campaña anterior. Agencia Agraria de Noticias. https://www.agraria.pe
McCarthy, A., Foley, J., Raedts, P., & Hills, J. (2023). Field evaluation of automated site-specific irrigation for cotton and perennial ryegrass using soil-water sensors and model predictive control. Agricultural Water Management, 277, Article 108098. https://doi.org/10.1016/j.agwat.2022.108098
Messina, G., & Modica, G. (2020). Applications of UAV thermal imagery in precision agriculture: State of the art and future research outlook. Remote Sensing, 12(9), Article 1491. https://doi.org/10.3390/rs12091491
Ministerio de Desarrollo Agrario y Riego. (2023). Boletín estadístico mensual. El agro en cifras, Diciembre 2023. https://cdn.www.gob.pe/uploads/document/file/5941243/4024332-boletin-mensual-el-agro-en-cifras-diciembre-2023.pdf?v=1710003696
Muhammad, T. A., & Abdul, R. (2018). Chapter 14 - Overview on effects of water stress on cotton plants and productivity. In S. H Wani (Ed.), Biochemical, physiological and molecular avenues for combating abiotic stress tolerance in plants (pp. 297–316). Academic Press. https://doi.org/10.1016/B978-0-12-813066-7.00016-4
Nhamo, L., Magidi, J., Nyamugama, A., Clulow, A. D., Sibanda, M., Chimonyo, V. G. P., & Mabhaudhi, T. (2020). Prospects of improving agricultural and water productivity through unmanned aerial vehicles. Agriculture, 10(7), Article 256. https://doi.org/10.3390/agriculture10070256
Olías, M., Cerón, J. C., & Fernández, I. (2005). Sobre la utilización de la clasificación de las aguas de riego del U.S. Laboratory Salinity (USLS). Geogaceta, 37, 111–113. http://hdl.handle.net/10272/8899
O’Shaughnessy, S. A., Evett, S. R., Colaizzi, P. D., & Howell, T. A. (2011). Using radiation thermography and thermometry to evaluate crop water stress in soybean and cotton. Agricultural Water Management, 98(10), 1523–1535. https://doi.org/10.1016/j.agwat.2011.05.005
Parkash, V., & Singh, S. (2020). A review on potential plant-based water stress indicators for vegetable crops. Sustainability, 12(10), Article 3945. https://doi.org/10.3390/su12103945
Sabino, E., Lavado, W., & Aybar, C. (2019). Estimación de las zonas de vida de Holdridge en el Perú. Servicio Nacional de Meteorología e Hidrología del Perú. Dirección de Hidrología. https://www.senamhi.gob.pe/load/file/01401SENA-87.pdf
Sánchez-Díaz, M., & Aguirreolea, J. (2008). Transpiración y control estomático. En J. Ascón, & M. Talon (Eds.), Fundamentos de fisiología vegetal (2.ª ed., pp. 41–56). McGraw-Hill.
Servicio Nacional de Meteorología e Hidrología del Perú. (2023). Boletín climático nacional marzo 2023. https://www.gob.pe/es/i/4112500
Umer Arshad, M., Zhao, Y., Hanif, O., & Fatima, F. (2022). Evolution of overall cotton production and its determinants: implications for developing countries using Pakistan case. Sustainability, 14(2), Article 840. https://doi.org/10.3390/su14020840
United Nations. (2021). Population, food security, nutrition and sustainable development. https://undocs.org/en/E/CN.9/2021/2
Vaddula, Y., & Singh, K. (2023). Progression of drip irrigation and fertigation in cotton across the globe and its future perspectives for sustainable agriculture: an overview. Applied Water Science, 13, Article 177. https://doi.org/10.1007/s13201-023-01986-3
Villar Barraza, H. D., Ramos Fernández, L., & Alminagorta Cabezas, O. (2021). Evaluación del estrés hídrico del cultivo de arroz (IR 71706) a través del uso de termografía calibrada del área del dosel en Lima, Perú. Idesia (Arica), 39(4), 59–70. https://doi.org/10.4067/S0718-34292021000400059
Zhang, L., Niu, Y., Zhang, H., Han, W., Li, G., Tang, J., & Peng, X. (2019). Maize canopy temperature extracted from UAV thermal and RGB imagery and its application in water stress monitoring. Frontiers in Plant Science, 10, Article 1270. https://doi.org/10.3389/fpls.2019.01270
