Agronomía Mesoamericana

Artículo científico

Volumen 36: Artículo 4ssgm196, 2025

e-ISSN 2215-3608, https://doi.org/10.15517/4ssgm196

Sistemas agroforestales cafetaleros: aproximaciones para la caracterización de sombra y microclima en Loja, Ecuador*

Coffee agroforestry systems: approaches for the characterization of shade and microclimate in Loja, Ecuador

Max Encalada-Córdova1, César Benavidez-Silva2,3,4, Narcisa Urgiles-Gómez5, Klever Chamba-Caillagua1

* Recepción: 30 de octubre, 2024. Aceptación: 10 de febrero, 2025. Este trabajo formó parte del proyecto de investigación denominado “Efecto de la sombra y la densidad poblacional en el desarrollo del cafeto Coffea arabica L. en sistemas agroforestales en tres localidades de Loja”, financiado por la Universidad Nacional de Loja.

1 Universidad Nacional de Loja, Carrera de Agronomía, Ciudad Universitaria Guillermo Falconí, 110101, Loja, Ecuador. max.encalada@unl.edu.ec (autor para correspondencia, https://orcid.org/0000-0002-9761-9648); klever.chamba@unl.edu.ec (https://orcid.org/0000-0001-9003-8499).

2 Universidad Nacional de Loja, Carrera de Ingeniería Agrícola, Ciudad Universitaria Guillermo Falconí, 110101, Loja, Ecuador. cesar.benavidez@unl.edu.ec (https://orcid.org/0000-0002-9822-4103).

3 Universidad Nacional de Loja, Centro de Investigaciones Tropicales del Ambiente y Biodiversidad (CITIAB), Ciudad Universitaria Guillermo Falconí, Loja 110101, Ecuador

4 Universidad Nacional de Loja, Grupo de Investigación en Medio Ambiente y Recursos Naturales (GIMARN), Ciudad Universitaria Guillermo Falconí, 110101, Loja, Ecuador. cesar.benavidez@unl.edu.ec (https://orcid.org/0000-0002-9822-4103).

5 Universidad Nacional de Loja, Carrera de Ingeniería Forestal, Ciudad Universitaria Guillermo Falconí, 110101, Loja, Ecuador. narcisa.urgiles@unl.edu.ec (https://orcid.org/0000-0001-8688-0480).

Resumen

Introducción. El cultivo del café en Ecuador desempeña un papel importante en los ámbitos social, económico, ambiental y cultural. En la provincia de Loja, se cultiva la especie Coffea arabica, reconocida por su calidad, la cual se atribuye a las condiciones geográficas de la región a las prácticas de cultivo bajo sistemas agroforestales (SAF) con distintas formas de manejo. Objetivo. Evaluar la composición, diversidad y valor de importancia de las especies de café de sombra e identificar las condiciones microclimáticas en sistemas agroforestales cafetaleros. Materiales y métodos. La investigación se llevó a cabo en tres zonas productoras de café en la provincia de Loja, Ecuador. En cada zona se establecieron y monitorearon parcelas de 20 × 30 m, de noviembre de 2017 a abril de 2019. Se registraron datos de las variables temperatura ambiental (°C), humedad relativa (%), velocidad del viento (m s-1) y porcentaje de cobertura (%) en el interior y el exterior de los SAF. Se utilizó correlación de Pearson entre las variables microclimáticas y el número de individuos que proveen sombra a los cafetales y su valor de importancia, para determinar la relación existente entre estos parámetros. Resultados. Las zonas cafetaleras mostraron diversidad arbórea significativa en términos de familias, géneros y especies de sombra. Las especies comunes pertenecieron a los géneros Citrus e Inga. En cuanto al microclima, se observaron diferencias en la temperatura (entre −4,23 °C y 2,23 °C) y la humedad relativa (entre 0 % y 10,54 %) en comparación con las áreas expuestas al pleno sol. Conclusiones. Los SAF cafetaleros modifican las condiciones ambientales entre el interior y el exterior de las áreas evaluadas, las cuales se ven afectadas por la cantidad de especies de cobertura que forman parte de los sistemas.

Palabras clave: café, diversidad florística, especies de sombra, diferencias climáticas, índices de diversidad.

Abstract

Introduction. Coffee cultivation in Ecuador plays a crucial role in social, economic, environmental, and cultural aspects. In Loja province, Coffea arabica production is distinguished by its high quality, attributed to both the geographical conditions and the cultivation practices under agroforestry systems (AFS) with different management approaches. Objective. To assess the composition, diversity, and importance value of shade tree species, and to identify the microclimatic conditions within coffee agroforestry systems. Materials and methods. The research was conducted in three coffee-producing areas of Loja, Ecuador, using 20 × 30 m plots were established and monitored from November 2017 to April 2019. The importance value index (IVI), Shannon-Wiener, and Simpson indices were calculated. Microclimatic variables, including ambient temperature (°C), relative humidity (%), wind speed (m s-1), and canopy cover percentage (%), were recorded both inside and outside the AFS. Pearson correlation analysis was used to examine relationships between microclimatic variables, number of shade-providing individuals, and their importance value. Results. The coffee-growing areas exhibited significant arboreal diversity in terms of families, genera, and shade tree species, with Citrus and Inga as predominant genera. Microclimate modifications were evident, with temperature differences (ranging from −4.23 °C to 2.23 °C) and relative humidity variations (ranging from 0 % to 10.54 %) compared to full-sun exposed areas. Conclusions. Coffee AFS modify environmental conditions between the interior and exterior of the evaluated areas, with variations directly influenced by canopy species within the systems.

Keywords: coffee, floristic diversity, shade tree species, climatic differences, diversity indices.

Introducción

Las sociedades humanas han alterado los ambientes naturales, modificando considerablemente los ecosistemas (Quandt et al., 2019; Rosenstock et al., 2019), lo que ha provocado importantes cambios en el uso del suelo en el paisaje, con transiciones desde la conversión de áreas naturales o sistemas agroforestales (SAF) hacia zonas de monocultivo agrícola o forestal. El 49 % de la superficie terrestre está sometida a prácticas agropecuarias (Tschora & Cherubini, 2020). La conversión de los bosques y los SAF en otros usos del suelo modifica la estructura de la vegetación y, en consecuencia, el microclima y la temperatura superficial (Getachew et al., 2023; Kletty et al., 2023).

A nivel global, los sistemas agroforestales cubren ~1000 millones de ha y dan sustento a ~560 millones de personas de países en desarrollo (Tilinti et al., 2025). Es necesario evaluar el impacto ambiental y la sostenibilidad asociados a la producción de café, debido a la eliminación de árboles de sombra bajo los que se cultiva (Lalani et al., 2024). El desarrollo agronómico convencional de este grano ha promovido el aumento de la productividad; sin embargo, los cafetales bajo sombra son más rentables que los sistemas intensivos, los cuales solo resultan más rentables cuando se logran suplir los requerimientos del café mediante insumos externos (fertilizantes, sistemas de riego, entre otros) (Lalani et al., 2024).

Las condiciones microclimáticas en los SAF están determinadas por el macroclima general de una región, como resultado de la heterogeneidad espacio-temporal de la vegetación y la topografía (Zignol et al., 2023). El efecto de los SAF sobre el microclima influye en el amortiguamiento de la temperatura del aire, reduce la velocidad del viento y la radiación solar, y redistribuye las precipitaciones (Macedo Pezzopane et al., 2011; Merle et al., 2022; Morais et al., 2006). Los SAF podrían ayudar también a incrementar la humedad relativa durante el día, regular el déficit de presión de vapor y aliviar el estrés hídrico; esto podría aumentar la conductancia estomática del café y la eficiencia en el uso de la luz (Rigal et al., 2020).

El café es altamente susceptible a la variabilidad climática (Sarmiento-Soler et al., 2022). La temperatura es una variable importante para definir las zonas adecuadas para su producción (Pereira Coltri et al., 2019); por ejemplo, temperaturas máximas superiores a 32 °C podrían ser climas no adecuados; temperaturas menores que 15 °C o mayores que 23 °C, medianamente adecuadas, y temperaturas entre 25 °C y 26 °C, ideales (Sarmiento-Soler et al., 2022). Las condiciones de radiación y temperatura más elevadas en los sistemas de café a pleno sol o con poca sombra, en comparación con los sistemas muy sombreados, contribuyen a un mayor número de flores (Morais et al., 2006), pero también pueden provocar la deformación de las flores o incluso inhibir la floración (Sarmiento-Soler et al., 2022).

La radiación solar es uno de los elementos meteorológicos que mayor modificación sufre cuando el café es cultivado bajo sombra (Macedo Pezzopane et al., 2011). La radiación solar podría influir en la muerte de ramas de fructificación y en las dinámicas de producción bienales (Rigal et al., 2020; Sarmiento-Soler et al., 2022). El café es una planta con un bajo punto de compensación lumínica y fotoinhibición a alta radiación solar; en este sentido, su producción bajo SAF puede ser ventajosa con respecto al monocultivo, dado que, al modificar el microclima, los árboles de sombra reducen el estrés del café (Siles et al., 2010) y podrían influir sobre la calidad de la bebida (Macedo Pezzopane et al., 2011).

La agricultura intensiva contribuye negativamente al cambio climático (Oduniyi & Tekana, 2019) y, en consecuencia, a la pérdida de biodiversidad (Awazi et al., 2024; Yahya et al., 2022). La pérdida de área bajo SAF reduciría la capacidad de las zonas rurales para captar carbono, lo que exige esfuerzos que fortalezcan las políticas de incorporación de SAF en los sistemas nacionales de producción, donde se protejan tanto las funciones de los ecosistemas como los medios de subsistencia de las personas (Quandt et al., 2019). En este contexto, los SAF ofrecen una solución a las comunidades rurales para mitigar y adaptarse mejor a eventos climáticos recurrentes (Awazi et al., 2022; Quandt et al., 2019; Zignol et al., 2023).

Los SAF, al integrar árboles y cultivos en su estructura, son más complejos que los monocultivos (Luedeling et al., 2014). Esta integración, al darse en diferentes estratos verticales, genera beneficios como la diversificación alimentaria, así como sinergias ecológicas y económicas (Amadu et al., 2020; Apuri et al., 2018; Nyaruai et al., 2018). Los SAF contribuyen a mantener la fertilidad del suelo y a regular el ciclo de nutrientes (Asfaw & Zewudie, 2021; Steinfeld et al., 2024) y los procesos biofísicos (Zignol et al., 2023); además, ofrecen servicios ecosistémicos, secuestran carbono y regulan la temperatura local (Delgado Vargas et al., 2022; Golicz et al., 2022; Jezeer et al., 2019; Luedeling et al., 2014).

Los efectos del cambio climático en la agricultura presentan desafíos significativos para los agricultores en el futuro (Luedeling et al., 2014). La variabilidad climática y los posibles cambios en los patrones temporales y espaciales de temperatura y precipitación podrían favorecer la aparición de nuevas enfermedades o plagas en los cultivos (Lasco et al., 2014). En el caso del café, que es altamente sensible a los cambios climáticos, podría reducirse el área cultivable, debido a las modificaciones en los regímenes de temperatura y precipitación (Gomes et al., 2020; Lara-Estrada et al., 2023).

La diversidad florística dentro de los cafetales es una alternativa que contribuye a la producción de alimentos y la generación de recursos económicos para los productores (Román Miranda et al., 2016). Además, esta diversidad de árboles de sombra en cafetales brinda productos forestales maderables y no maderables, regula el ciclo de nutrientes, conserva la biodiversidad y favorece la sostenibilidad de la producción de café (Awazi et al., 2022; Gomes et al., 2020; Rosenstock et al., 2019). La diversidad florística en los SAF es particularmente relevante en zonas con condiciones marginales o adversas para los cafetales, o que han sido afectadas por actividades humanas, como la conversión por cambio de uso del suelo (Alvarado & Benavidez-Silva, 2022; Suarez & Gwozdz, 2023).

El café es un cultivo clave en el comercio internacional. Su producción desempeña un papel esencial en la economía de 80 países tropicales (Aerts et al., 2017; Cassamo et al., 2023) y constituye una fuente importante de empleo y divisas (Marín-Garza et al., 2018). A principios de siglo, el sustento de 100 millones de personas dependía de ella (Bunn et al., 2015). Se estima que entre 12,5 millones de productores y alrededor de 25 millones de familiares de estos participan en el cultivo de café (Cassamo et al., 2023; Lalani et al., 2024), de los cuales aproximadamente el 70 % son pequeños agricultores (Jezeer et al., 2019) y el 95 % cultivan en áreas menores que 5 ha (Lalani et al., 2024).

Los paisajes cafetaleros rurales se han construido mediante un complejo conjunto de procesos ambientales y sociales, así como de relaciones con mercados internacionales y locales. Las regiones cafetaleras se ubican generalmente en áreas identificadas como hotspots de biodiversidad (bosques nublados o bosques tropicales); a pesar de esto, la industria del café tiene un impacto sobre la biodiversidad (Toledo & Moguel, 2012). A nivel global, en 2010, el 25 % de las plantaciones de café se cultivaron en SAF con diversos estratos de sombra, el 35 % con sombra dispersa y el 40 % carecía de sombra (Jezeer et al., 2019), lo que correspondería a los sistemas rústico tradicional, tradicional de policultivo, de monocultivo sombreado y de café sin sombra (Toledo & Moguel, 2012).

En Ecuador, específicamente en la provincia de Loja, no existen estudios científicos o técnicos actuales acerca del comportamiento del cafeto en SAF ni sobre el microclima favorable que experimenta el cultivo bajo sombra (Jaramillo Díaz et al., 2018). El reconocimiento internacional de la calidad del café de Loja resalta la necesidad de mejorar la eficiencia de los cafetales en relación con su entorno. El objetivo de esta investigación fue evaluar la composición, diversidad y valor de importancia de las especies de sombra e identificar las condiciones microclimáticas en sistemas agroforestales cafetaleros.

Materiales y métodos

Zonas de estudio

La investigación se realizó en tres zonas productoras de café en la provincia de Loja, Ecuador (Figura 1), correspondientes a los cantones de Chaguarpamba-Olmedo (zona 1), Puyango (zona 2) y Quilanga-Espíndola (zona 3), en las cuales se seleccionaron tres SAF cafetaleros. Cada 15 días, durante el período de junio de 2017 a abril de 2019, se recolectaron datos de temperatura del aire (°C), humedad relativa (%) y velocidad del viento (m s-1). Se caracterizó la vegetación de los SAF sembrados con Coffea arabica y especies arbóreas que proporcionaban sombra, delimitando tres parcelas de 20 m × 30 m (García Mayoral et al., 2015).

Figura 1. Ubicación de los sitios de estudio en tres zonas productoras de café. Provincia de Loja, Ecuador, de noviembre de 2017 a abril de 2019.

Figure 1. Geographic location of study sites across three coffee-producing zones. Loja Province, Ecuador, from November 2017 to April 2019.

Caracterización de las especies de cobertura

Se seleccionaron tres cafetales por zona con plantas adultas de entre 5 y 8 años. Para identificar las especies arbóreas de sombra presentes en el SAF, se consideró el nombre local y se tomaron muestras y fotografías para su posterior verificación en el Herbario Reinaldo Espinosa de la Universidad Nacional de Loja. Se incluyeron todas las especies con un diámetro a la altura del pecho (1,30 m) igual o mayor que 5 cm (Durigan et al., 2000; Higuchi et al., 1998).

Índices de diversidad

Los índices de diversidad resumen la riqueza y la equitatividad, combinando ambas métricas en una sola estadística (Kindt & Coe, 2010). Con la librería BiodiversityR implementada en R Core Team (2020), se calcularon los índices de Simpson (D) y Shannon-Wiener (H) (Cuadro 1), que permiten evaluar la equitatividad y la dominancia, respectivamente, para determinar la diversidad de la comunidad en estudio (Gholizadeh et al., 2022; Strong, 2016; Subburayalu & Sydnor, 2012). El índice de Shannon-Wiener (H) considera tanto la riqueza de especies como su abundancia, al relacionar el número de especies con la proporción de individuos presentes en cada una (Campo & Duval, 2014; Roy et al., 2022).

Cuadro 1. Descripción de los índices de diversidad de Simpson y Shannon-Wiener, que permiten evaluar la equitatividad y la dominancia de las especies, y del índice de valor de importancia (IVI), que determina la importancia ecológica relativa de una especie en una comunidad.

Table 1. Description of the Simpson and Shannon-Wiener diversity indexes, which allow the evaluation of the species’ equitability and dominance, and the importance value index (IVI), which determines the relative ecological importance of a species in a community.

El índice de Simpson (D) varía de forma inversa con la heterogeneidad, evaluando la probabilidad de que dos individuos seleccionados al azar pertenezcan a la misma especie (Campo & Duval, 2014; Gregorius & Gillet, 2008; Momeni & Antipova, 2022). Estos valores cambian de acuerdo con el incremento o disminución de la diversidad (Momeni & Antipova, 2022; Subburayalu & Sydnor, 2012). La representación de los individuos por especie requiere que todas estén en la muestra y resulta sensible a la abundancia sin considerar la distribución espacial (Strong, 2016).

Índice de valor de importancia (IVI)

El índice de valor de importancia (IVI) constituye un indicador adecuado para evaluar la importancia ecológica relativa de una especie en una comunidad, lo que permite jerarquizar la dominancia de cada especie en sistemas mixtos (Azevedo de Melo et al., 2021; Parray et al., 2021; Yemata & Haregewoien, 2022). Para su cálculo, se utilizaron métricas ecológicas como la densidad relativa (DR), la frecuencia relativa (FR) y la dominancia relativa (DmR) de las especies (De Souza Barbosa et al., 2022; Jaramillo Díaz et al., 2018; Solomon et al., 2022) (Cuadro 1). Valores bajos de IVI indican un menor dominio florístico de la especie en la comunidad (Das et al., 2021).

Caracterización microclimática

Para identificar las condiciones del microclima en cada parcela, se registraron el porcentaje de cobertura, la temperatura del ambiente y la humedad. La estimación del porcentaje de cobertura se realizó con un luxómetro (Lux), colocado a nivel de la copa de las plantas de cafeto, mientras que un segundo equipo se ubicó en condiciones de cielo despejado a 1,8 m de altura, lo que permitió determinar el porcentaje de cobertura en cada sitio. La medición de la temperatura ambiental y la humedad relativa se efectuó con un sensor AIMO modelo MS6252B, situado a nivel de la copa de los cafetos dentro del SAF, y con un segundo instrumento, colocado en condiciones de cielo abierto a la misma altura en el exterior del sistema (pleno sol).

Los datos fueron procesados en el software R (R Core Team, 2020). El análisis de correlación de Pearson permitió evaluar la relación entre las variables de cobertura, temperatura, humedad relativa, número de individuos y el IVI. Para determinar la significancia estadística de las correlaciones, se calculó el valor-p asociado a cada coeficiente de correlación. Un valor-p menor que el nivel de significancia establecido indica que la correlación observada es estadísticamente significativa, es decir, que la probabilidad de que se deba al azar es baja.

Diseño experimental

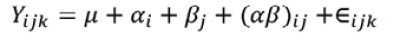
Para el desarrollo de esta investigación se implementó un diseño experimental de bloques completamente al azar con submuestreo, donde los bloques corresponden a las tres zonas cafetaleras (Figura 1) y la unidad experimental principal fue cada parcela de 20 × 30 m dentro de una zona. El submuestreo consistió en mediciones repetidas de las variables microclimáticas y en la caracterización de la cobertura dentro de cada parcela, realizadas de noviembre de 2017 a abril de 2019. La variabilidad entre zonas se controló mediante el bloqueo de estas, mientras que las mediciones repetidas (submuestras) permitieron capturar la variación intraparcelas. Cada parcela recibió aleatoriamente la posición (interior/exterior del SAF) dentro de su zona. El modelo lineal para el análisis se presenta en la ecuación 1.

[1]

Donde:

μ: Media general.

αi: Efecto del i-ésimo bloque (zona).

βj: Efecto del j-ésimo tratamiento (posición SAF).

(αβ)ij: Interacción bloque×tratamiento.

ijk: Error experimental (k-ésima submuestra).

Resultados

Caracterización de las especies de cobertura

La característica principal de las zonas cafetaleras estudiadas fue la diversidad de familias, géneros y especies que proporcionan sombra en cada cafetal. Esta diversidad es específica de cada zona. En Quilanga-Espíndola se observó una mayor complejidad florística, con 21 familias, 26 géneros y 42 especies distintas, en comparación con los otros sitios, que presentaron 18 familias en Chaguarpamba-Olmedo y 16 en Puyango. En Chaguarpamba-Olmedo se hallaron 22 géneros y en Puyango 19, con 35 y 25 especies, respectivamente.

La distribución del número de individuos por hectárea en las zonas estudiadas se concentró principalmente entre 1 y 50 individuos por especie, registrándose con mayor frecuencia en los sitios Huásimo y San José de Mercadillo; a excepción de Pindal de Vicentino (zona 3), donde también se encontraron especies con entre 50 y 100 individuos por hectárea. En Lozumbe (zona 1) y San Pedro (zona 2) se observó una mayor frecuencia de especies con 50 individuos, con un menor número de especies entre 50 y 200 individuos por hectárea. En Chaguarpamba y Lobongo (zona 1), así como en Consapamba y Fundochamba (zona 2), se presentó una mayor concentración de especies con hasta 50 individuos por hectárea (Figura 2a).

Figura 2. a) Distribución de probabilidad de individuos de todas las especies en las tres zonas de estudio: Chaguarpamba-Olmedo, Puyango y Quilanga-Espíndola. b) Abundancia total de especies vegetales en términos de número de individuos en las tres zonas. Provincia de Loja, Ecuador, de noviembre de 2017 a abril de 2019.

Figure 2. a) Probability distribution of all species individuals across three study zones: Chaguarpamba-Olmedo, Puyango, and Quilanga-Espíndola. b) Overall plant species abundance showing number of individuals across all areas. Loja Province, Ecuador, from November 2017 to April 2019.

En sentido general, en cada zona la abundancia de especies estuvo mayormente representada por los géneros Acnistus, Carica, Citrus, Erythrina, Inga, Myrsine y Ochroma, con densidades superiores a 100 plantas por hectárea. Las especies con menor frecuencia se ubicaron en rangos menores que 50 individuos, por lo que, en algunos casos donde la presencia de las especies ha sido específica del sitio, se agruparon en “otras especies” (Figura 2b). Esto podría corroborar el hecho de que la sombra de los cafetales no obedece a un orden preestablecido ni a la aplicación de una norma técnica determinada (Figura 2b).

En la zona Chaguarpamba-Olmedo, Lozumbe destaca por su alta diversidad (H: 2,566566; D: 0,8963895), seguido por Chaguarpamba y Lobongo con diversidades medias. En Quilanga-Espíndola, San Pedro tuvo la mayor diversidad (H: 2,546491; D: 0,8814433), mientras que Consapamba presentó la menor diversidad. En Puyango, Huásimo mostró alta diversidad (H: 2,121602; D: 0,8385107), y Pindal de Vicentino, la menor diversidad (H: 1,273614; D: 0,6670737) (Cuadro 2).

Cuadro 2. Índices de diversidad de Shannon-Wiener (H) y Simpson (D) del dosel de sombra de cafetales con diferente número de especies en sistemas agroforestales en tres zonas cafetaleras (Chaguarpamba-Olmedo, Quilanga-Espíndola y Puyango). Provincia de Loja, Ecuador, de noviembre de 2017 a abril de 2019.

Table 2. Shannon-Wiener (H) and Simpson (D) diversity indexes of the shade canopy of coffee plantations with different numbers of species in agroforestry systems in all three coffee production zones (Chaguarpamba-Olmedo, Quilanga-Espíndola, and Puyango). Loja Province, Ecuador, from November 2017 to April 2019.

La diversidad de especies incluyó 52 familias, 67 géneros y 103 especies presentes en cada zona de los cafetales. En todas las áreas, los géneros más representativos fueron Acnistus, Carica, Citrus, Erythrina, Inga, Myrsine, Ochroma y Psidium, con densidades superiores a 100 plantas por hectárea. En cada sitio, se identificaron especies de sombra de uso múltiple, entre las que destacaron las utilizadas para la alimentación, como Psidium guajava L., Annona cherimola Mill., Citrus sinensis Osbeck, Persea americana Mill. y Pouteria sp. También se registraron especies empleadas para la producción de madera, como Cedrela odorata L. e Inga insignis Kunth.

Índice de valor de importancia (IVI)

En todas las zonas, el IVI estuvo representado principalmente por los géneros Citrus, Erythrina e Inga. En Chaguarpamba-Olmedo (Figura 3a), Acacia macracantha tuvo la mayor representación, seguida de Inga sp. y otras especies generalistas. En Fundochamba y San Pedro, Annona cherimola exhibió una mayor representatividad seguida de Ochroma pyramidale, Psidium guajava y Cedrela odorata (Figura 3c). En los sitios Huásimo y San José de Mercadillo, los géneros Citrus e Inga mostraron mayor representatividad, mientras que en Pindal de Vicentino destacó Erythrina como el de más abundancia (Figura 3).

Figura 3. Índice de valor de importancia (IVI) de las especies de sombra en los diferentes sitios de las zonas cafetaleras: a) Chaguarpamba-Olmedo, b) Puyango y c) Quilanga-Espíndola. Provincia de Loja, Ecuador, de noviembre de 2017 a abril de 2019.

Figure 3. Importance value index (IVI) of shade tree species in the different sites of coffee-growing areas: a) Chaguarpamba-Olmedo, b) Puyango, and c) Quilanga-Espíndola. Loja Province, Ecuador, from November 2017 to April 2019.

Condiciones microclimáticas

La temperatura promedio difirió entre los sitios/tratamientos dentro de cada zona/bloque. En la zona Chaguarpamba-Olmedo, Lozumbe presentó la mayor temperatura en el interior del SAF (25,7 ± 4,07 °C), mientras que Lobongo tuvo la menor (21,5 ± 3,9 °C). Las mediciones en el exterior del SAF indican que Lozumbe registró una temperatura promedio de 26,6 ± 4,9 °C; Chaguarpamba de 23,3 ± 3,7 °C, y Lobongo de 23,0 ± 3,8 °C. En todos los tratamientos, la temperatura dentro del SAF fue menor que en su exterior, con diferencias significativas entre los sitios (Figura 4a).

Figura 4. Diagrama de cajas de mediciones de la temperatura del aire (a), velocidad del viento (b) y humedad relativa (c) por zona y por sitio en el interior del sistema agroforestal y a pleno sol en su exterior. Provincia de Loja, Ecuador, de noviembre de 2017 a abril de 2019.

Figure 4. Boxplot comparing air temperature (a), wind speed (b), and relative humidity (c) measurements by zone and by site inside the agroforestry system and under full-sun conditions outside the system. Loja Province, Ecuador, from November 2017 to April 2019.

En la zona de Puyango, el sitio/tratamiento San José de Mercadillo registró una temperatura de 27,6 ± 1,34 °C; en Huásimo fue de 24,7 ± 1,13 °C y en Pindal de Vicentino 21,5 ± 0,25 °C en el interior del SAF. En el exterior se observaron temperaturas promedio de 28,9 ± 1,16 °C; 28,0 ± 1,63 °C y 23,1 ± 0,69 °C para San José de Mercadillo, Huásimo y Pindal de Vicentino, respectivamente. En la zona Quilanga-Espíndola, Consapamba mostró la temperatura más elevada (26,8 ± 1,17 °C), mientras que San Pedro presentó el valor más bajo (20,9 ± 2,53 °C).

La velocidad del viento también mostró diferencias entre los tratamientos. En la zona de Chaguarpamba-Olmedo, Chaguarpamba tuvo la mayor velocidad (0,74 ± 0,08 m/s). En Puyango, Huásimo presentó un valor intermedio (0,31 ± 0,05 m/s), mientras que Pindal de Vicentino registró la menor velocidad (0,085 ± 0,02 m/s). En Quilanga-Espíndola, el sitio Fundochamba destacó con la velocidad más alta (0,56 ± 0,07 m/s), en contraste con San Pedro, que exhibió el menor valor (0,10 ± 0,03 m/s), siendo siempre más elevada en el exterior que dentro de los SAF (Figura 4b).

La humedad relativa presentó variaciones significativas entre los tratamientos y bloques. En la zona Chaguarpamba-Olmedio, el sitio Chaguarpamba exhibió la mayor humedad promedio (77,33 ± 4,8 %), seguido de Lozumbe (75,7 ± 4,00 %) y Lobongo (75,6 ± 3,9 %) en el interior del SAF, mientras que, en el exterior, el sitio Chaguarpamba registró una humedad promedio (72,6 ± 3,7 %), seguido de Lobongo (71,5 ± 3,8 %) y Lozumbe (68,2 ± 4,9 %). En la zona Puyango, el sitio San José de Mercadillo mostró el valor más bajo (53,7 ± 0,48 %), Pindal de Vicentino presentó 70,3 ± 0,25 %, y Huásimo, 71,1 ± 1,13 %, en el interior del SAF; mientras que en el exterior los valores observados fueron de 51,4 ± 1,16 %, 69,3 ± 0,69 % y 62,8 ± 1,63 %, respectivamente (Figura 4c).

En la zona Quilanga-Espíndola, la humedad varió de manera considerable: San Pedro fue el tratamiento con mayor humedad (71,7 ± 2,53 %), y Consapamba, el de menor humedad (54,05 ± 1,17 %) en el interior del SAF. En su exterior, San Pedro tuvo mayor humedad relativa (63,9 ± 3,5 %), seguido de Fundochamba (57,2 ± 1,76 %) y Consapamba (49,6 ± 0,63 %), mostrando un patrón consistente entre lo observado en el interior y el exterior del SAF (Figura 4c).

La cobertura arbórea (en el dosel del SAF) presentó una alta variabilidad en las distintas zonas, con un rango entre 24,75 % y 95,61 %; el valor mínimo fue en la zona Chaguarpamba-Olmedo, y el máximo, en la zona Quilanga-Espíndola (Figura 4d). Al analizar las diferencias de las variables en cada sitio de forma independiente, se identificó una amplia variación entre ellos. Los valores de temperatura del aire, humedad relativa y velocidad del viento sugieren que en todos los sitios existió una diferencia significativa entre el microclima en el interior del SAF y el clima del medio externo (Figura 5).

Figura 5. Diagrama de cajas de mediciones del porcentaje de sombra por zona y por sitio en el interior del sistema agroforestal y a pleno sol en su exterior. Provincia de Loja, Ecuador, de noviembre de 2017 a abril de 2019.

Figure 5. Boxplot for shade percentage measurements by zone and by site inside the agroforestry system and under full-sun conditions outside the system. Loja Province, Ecuador, from November 2017 to April 2019.

El análisis de las condiciones microclimáticas entre el interior del SAF y las condiciones a pleno sol mostró que existen diferencias significativas entre estos ambientes en todas las variables. El gráfico de medias con intervalos de confianza (95 %) indica que los SAF presentaron temperaturas más bajas, mayor humedad relativa y menor velocidad del viento. Para la temperatura, San José de Mercadillo (Puyango) registró valores significativamente más bajos en el interior del SAF, mientras que Chaguarpamba, Pindal de Vicentino y San Pedro no exhibieron diferencias significativas entre los sitios. Por otro lado, Huásimo y Consapamba tampoco mostraron diferencias significativas entre los sitios, pero sí una gran diferencia entre el interior del SAF y pleno sol. Este patrón podría indicar que la temperatura varía significativamente entre zonas debido también a las diferencias altitudinales entre ellas (Figura 6).

Figura 6. Diagrama de medias con intervalos de confianza de las variables humedad relativa, sombra, temperatura y velocidad del viento por zona y por sitio en el interior del sistema agroforestal (SAF) y a pleno sol en su exterior. Provincia de Loja, Ecuador, de noviembre de 2017 a abril de 2019.

HR - Exterior: Humedad relativa en el exterior del SAF. HR - SAF: Humedad relativa en el interior del SAF. Sombra - SAF: Sombra en el interior del SAF. Temp - Exterior: Temperatura en el exterior del SAF. Temp - SAF: Temperatura en el interior del SAF. Viento - Exterior: Velocidad del viento en el exterior del SAF. Viento - SAF: Velocidad del viento en el interior del SAF.

Figure 6. Mean values diagram with confidence intervals of the variables relative humidity, shade, temperature, and wind speed by zone and by site inside the agroforestry system (AFS) and under full-sun conditions outside the system. Loja Province, Ecuador, from November 2017 to April 2019.

HR - Exterior: Relative humidity outside the AFS. HR - SAF: Relative humidity inside the AFS. Sombra - SAF: Shade inside the AFS. Temp - Exterior: Temperature outside the AFS. Temp - SAF: Temperature inside the AFS. Wind - Exterior: Wind speed outside the AFS. Wind - SAF: Wind speed inside the AFS.

Para la humedad relativa, se observaron dinámicas menos dispersas entre los grupos. Chaguarpamba (zona Chaguarpamba-Olmedo) mostró diferencias significativas con San José de Mercadillo (zona Puyango) y Consapamba (zona Quilanga-Espíndola), mientras que entre los sitios Lozumbe y Lobongo, que pertenecen a la misma zona, no se hallaron diferencias significativas. Esto podría indicar que la humedad relativa es una variable influenciada por la ubicación y las condiciones de vegetación específicas de cada tratamiento (Figura 5).

Para la velocidad del viento y la sombra, se observaron dinámicas estadísticamente heterogéneas. En el caso de la velocidad del viento, Chaguarpamba y San Pedro mostraron diferencias significativas frente a sitios de distintas zonas, como San José de Mercadillo, Pindal de Vicentino y Consapamba. Para la variable sombra, Fundochamba y San Pedro se diferenciaron significativamente de Chaguarpamba, lo cual podría ser un indicativo de cómo la cantidad y tipo de especies de cobertura utilizadas influyen sobre esta variable (Figura 5).

En cuanto a la temperatura, la diferencia más amplia se encontró en Lobongo (zona 1) con −4,23 °C, y para la humedad relativa se registró diferencia en Fundochamba (zona 2) con 10,54 %. Esto podría deberse a la ubicación geográfica y altitudinal de los SAF, ya que la altitud entre ellos fluctúa entre 708 m s. n. m. y 2071 m s. n. m. En la zona 1, el porcentaje de cobertura varió entre 24,75 % y 63,8 %. En la zona 2, el rango de sombra fue más amplio, oscilando entre 66,43 % y 95,61 %, y en la zona 3, se halló entre 31,27 % y 53,65 % (Cuadro 3).

Cuadro 3. Diferencias de temperatura del aire, humedad relativa y velocidad del viento por sitio en el interior del sistema agroforestal con respecto a pleno sol en su exterior. Provincia de Loja, Ecuador, de noviembre de 2017 a abril de 2019.

Table 3. Differences in air temperature, relative humidity, and wind speed by site inside the agroforestry system compared to full-sun conditions outside the system. Loja Province, Ecuador, from November 2017 to April 2019.

Las relaciones entre las variables ambientales, el número de individuos y el IVI en las zonas de estudio se muestran en el Cuadro 4. La correlación entre individuos de las especies y el IVI es moderada y positiva (0,43), lo que podría indicar que, a medida que incrementa el IVI, aumenta el número de individuos. Por otro lado, la relación entre el número de individuos y las variables climáticas en el interior del SAF fue débil.

Cuadro 4. Correlación de Pearson entre los elementos del microclima agroforestal cafetalero, el número de individuos por especie y el índice de valor de importancia (IVI). Provincia de Loja, Ecuador, de noviembre de 2017 a abril de 2019.

Table 4. Pearson correlation among coffee agroforestry microclimate elements, number of individuals per species, and importance value index (IVI). Loja Province, Ecuador, from November 2017 to April 2019.

La temperatura y la humedad relativa presentaron una correlación fuerte y negativa (−0,79*), lo que sugiere que, a medida que aumenta la temperatura, disminuye la humedad relativa. La temperatura también estuvo vinculada a la velocidad del viento (0,78*) y mostró una correlación negativa con el porcentaje de sombra (−0,85*). La humedad relativa y la velocidad del viento exhibieron una correlación moderada negativa (−0,72*), mientras que la humedad relativa y el porcentaje de cobertura estuvieron positivamente asociados (0,70*) (Cuadro 4). Esto indica que las variables climáticas están fuertemente relacionadas entre sí y, por lo tanto, influirían en la estructura y dinámica de las zonas de estudio.

Discusión

Las características encontradas dentro de los SAF se corresponden con cafetales que están en sistemas agroforestales entre tradicionales y sostenibles con sombra (Jezeer et al., 2019) y, según la clasificación para sistemas agroforestales en México, se corresponden con un sistema de sombra diversificada, generalmente en una combinación de Inga con árboles frutales para consumo o árboles maderables para su venta (López-Bravo et al., 2012). Se registraron 103 especies dentro de 67 géneros y 52 familias. Otro estudio informó correspondencia de la diversidad florística en sistemas agroforestales con café (Soto-Pinto et al., 2000).

En cada sitio se presentaron variadas especies de sombra, destacándose algunas que se corresponden con el uso para la alimentación o producción de madera. La diversidad de la cobertura evidencia que los cafetales de estos sitios cuentan con alguna especie frutal propia de la zona como cobertura, contribuyendo a la conservación de la biodiversidad y al manejo sostenible de la actividad agrícola (Virginio Filho et al., 2014). Se encontró correspondencia entre esta investigación y otros estudios relacionados con la diversidad florística en sistemas agroforestales con café (Soto-Pinto et al., 2000). El impacto de los SAF no es únicamente sobre una variable climática; también regulan variables como la radiación solar, atmosférica, el albedo y la velocidad del viento (Wang et al., 2022).

La capacidad de los SAF de mantener condiciones climáticas favorables para el cultivo se debe en parte a la diversidad de individuos que se desarrolla en su interior (Rosenstock et al., 2019). Esta diversidad provee sombra al cafetal, regulando las temperaturas diurnas y nocturnas (Gomes et al., 2020), y actúa como barrera física (Molla, 2015). Al analizar el microclima, la cobertura presentó un rango entre 24 % y 95 %, con sitios que podrían encontrarse fuera de los rangos recomendados. Un SAF con sombra entre 40 % y 50 % disminuye la temperatura del aire, de las hojas y del suelo, mientras que la humedad del aire tiende a aumentar, favoreciendo la sostenibilidad (López-Bravo et al., 2012; López-Ferrer et al., 2017).

Cuando el manejo de los sistemas agroforestales no es adecuado, los rendimientos del cultivo pueden disminuir (López-Bravo et al., 2012; Rapidel et al., 2015). Si la sombra es mayor que el 48 %, puede afectar negativamente la fotosíntesis en el cafeto, mientras que con niveles de sombra de hasta 47 % se podría mejorar la eficiencia fotosintética (Gomes et al., 2020; Zapata Arango et al., 2017). Algunos SAF de la zona Chaguarpamba-Olmedo y Puyango son manejados con porcentajes de sombra inferiores a los estándares indicados (Encalada Córdova et al., 2016).

Las zonas estudiadas muestran alta riqueza de familias, géneros y especies (Figura 3). Estas características corresponden a cafetales tradicionales sostenibles con sombra (Villavicencio-Enríquez, 2013). Por otra parte, investigaciones realizadas en México (García Mayoral et al., 2015) indican que en un SAF con café las familias Fabaceae, Lauraceae, Euphorbiaceae y Malvaceae presentaron mayor IVI, lo que coincide con las familias encontradas en las zonas de estudio de este trabajo.

La humedad relativa cambia en función del grado de sombra que incide en un área determinada, debido a que conserva el agua libre procedente de las lluvias en las plantaciones (Ángel Sánchez et al., 2017). Si la sombra no es bien manejada, podría promover niveles de humedad relativa superiores al 80 %, lo cual puede inducir la generación de roya en el cultivo (Granados Montero, 2015). Los valores de diversidad florística, el IVI, sombra, temperatura del aire, humedad relativa y velocidad del viento sugieren que en todos los sitios existió diferencia entre el interior del SAF y el medio externo en proporciones distintas entre ellos (Figuras 2 y 3).

Los árboles de sombra regulan la temperatura de los arbustos de café, manteniéndolos frescos durante el día y cálidos por la noche, ya que los cambios en el interior del sistema se producen lentamente (López-Bravo et al., 2012; Villarreyna et al., 2020), lo que podría explicar la amplia variabilidad de los indicadores microclimáticos en este estudio. La velocidad del viento mostró variaciones a nivel interno del sistema, debido principalmente a la presencia de los árboles de sombra que detienen el viento (Alanya Cano, 2018). Con los resultados obtenidos, se considera que los SAF proveen un microclima favorable para el cultivo sostenible del cafeto en las condiciones edafoclimáticas de la provincia de Loja, en la Región Sur del Ecuador.

Conclusiones

La caracterización de la composición florística de las especies de sombra en los cafetales mostró una diversidad heterogénea, con predominancia de los géneros Acnistus, Carica, Citrus, Erythrina, Inga, Myrsine y Ochroma. Esto podría sugerir que la estructura vegetal en los sistemas agroforestales (SAF) es importante para mantener las condiciones ambientales entre el interior y el exterior de las áreas evaluadas. La diversidad de especies en los SAF varió entre los sitios estudiados. Los índices de Shannon-Wiener (H) y Simpson (D) indicaron que Lozumbe (H: 2,566566; D: 0,8963895) y San Pedro (H: 2,546491; D: 0,8814433) presentaron una mayor diversidad, mientras que Pindal de Vicentino tuvo la menor (H: 1,273614; D: 0,6670737). Esto sugiere que la composición de la cobertura en los SAF no tiene una tendencia generalizada, sino que depende de dinámicas locales.

Las especies Acacia macracantha (Cav. Ex Lam.) Urb., Citrus sp., Inga sp., Erythrina sp. y Annona cherimola Mill. registraron los mayores valores de importancia (IVI), lo que resalta su papel ecológico dentro de los SAF evaluados. Estas especies, además de ofrecer sombra a los cafetales, también aportan beneficios como mejoramiento del suelo y producción de alimento y madera, reforzando el valor del diseño de los SAF.

Las condiciones microclimáticas dentro de los sistemas evaluados mostraron diferencias significativas, influenciadas principalmente por la composición y densidad de las especies de cobertura. Destacaron las diferencias de temperatura y humedad relativa entre el interior y exterior de los SAF, donde la estructura heterogénea de las especies de cobertura influye sobre la distribución de luz en las distintas zonas y sitios.

Conflicto de intereses

Los autores declaran que no existen conflictos de intereses.

Referencias

Aerts, R., Geeraert, L., Berecha, G., Hundera, K., Muys, B., De Kort, H., & Honnay, O. (2017). Conserving wild Arabica coffee: Emerging threats and opportunities. Agriculture, Ecosystems & Environment, 237(2017), 75–79. http://dx.doi.org/10.1016/j.agee.2016.12.023

Alanya Cano, J. N. (2018). Evaluar el efecto de la temperatura y la velocidad de aire en el secado-convectivo de pulpa de café, Lima-2018 [Tesis de grado, Universidad César Vallejo]. Repositorio UCV-Institucional. https://repositorio.ucv.edu.pe/handle/20.500.12692/27950

Alvarado, M., & Benavidez-Silva, C. (2022). Cambio y continuidad en la valorización del espacio agrario de Loja (1.ª ed.). Sistema de Investigación sobre la Problemática Agraria en Ecuador.

Amadu, F. O., Miller, D. C., & McNamara, P. E. (2020). Agroforestry as a pathway to agricultural yield impacts in climate-smart agriculture investments: evidence from southern Malawi. Ecological Economics, 167, Article 106443. https://doi.org/10.1016/j.ecolecon.2019.106443

Ángel Sánchez, Y. K., Pimentel Tapia, M. E., & Suárez Salazar, J. C. (2017). Importancia cultural de vegetación arbórea en sistemas ganaderos del municipio de San Vicente del Caguán, Colombia. Revista U.D.C.A Actualidad & Divulgación Científica, 20(2), 393–401. https://doi.org/10.31910/rudca.v20.n2.2017.397

Apuri, I., Peprah, K., & Achana, G. T. W. (2018). Climate change adaptation through agroforestry: the case of Kassena Nankana West District, Ghana. Environmental Development, 28, 32–41. https://doi.org/10.1016/j.envdev.2018.09.002

Asfaw, A., & Zewudie, S. (2021). Soil macrofauna abundance, biomass and selected soil properties in the home garden and coffee-based agroforestry systems at Wondo Genet, Ethiopia. Environmental and Sustainability Indicators, 12, Article 100153. https://doi.org/10.1016/j.indic.2021.100153

Awazi, N. P., Tchamba, M. N., Temgoua, L. F., & Tientcheu-Avana, M.-L. (2022). Agroforestry as an adaptation option to climate change in Cameroon: assessing farmers’ preferences. Agricultural Research, 11, 309–320. https://doi.org/10.1007/s40003-021-00562-y

Awazi, N. P., Tientcheu-Avana, M.-L., Temgoua, L. F., Tsufac, A. R., Forje, G. W., Cedric, C. D., Nfornkah, B. N., & Tchamba, M. N. (2024). Agroforestry-based bioeconomy transition in Cameroon: realities and the way forward. In K. Singh, M. Cezar Ribeiro & Ö. Calicioglu (Eds.), Biodiversity and Bioeconomy (pp. 295–324). Elsevier. https://doi.org/10.1016/B978-0-323-95482-2.00014-6

Azevedo de Melo, N., Minuzzi Delevati, D., Ben da Costa, A., & Lobo, E. A. (2021). The use of phytosociology to evaluate the efficiency of headwater preservation areas in the Andreas Stream Hydrographic Basin, RS, Brazil. Ecological Indicators, 129, Article 107904. https://doi.org/10.1016/j.ecolind.2021.107904

Bunn, C., Läderach, P., Ovalle Rivera, O., & Kirschke, D. (2015). A bitter cup: climate change profile of global production of Arabica and Robusta coffee. Climatic Change, 129, 89–101. https://doi.org/10.1007/s10584-014-1306-x

Campo, A. M., & Duval, V. S. (2014). Diversidad y valor de importancia para la conservación de la vegetación natural. Parque Nacional Lihué Calel (Argentina). Anales de Geografía de La Universidad Complutense, 34(2), 25–42. https://doi.org/10.5209/rev_AGUC.2014.v34.n2.47071

Cassamo, C. T., Draper, D., Romeiras, M. M., Marques, I., Chiulele, R., Rodrigues, M., Stalmans, M., Partelli, F. L., Ribeiro-Barros, A., & Ramalho, J. C. (2023). Impact of climate changes in the suitable areas for Coffea arabica L. production in Mozambique: agroforestry as an alternative management system to strengthen crop sustainability. Agriculture, Ecosystems & Environment, 346, Article 108341. https://doi.org/10.1016/j.agee.2022.108341

Das, D. S., Dash, S. S., Maity, D., & Rawat, D. S. (2021). Population structure and regeneration status of tree species in old growth Abies pindrow dominant forest: A case study from western Himalaya, India. Trees, Forests and People, 5(2021), Article 100101. https://doi.org/10.1016/j.tfp.2021.100101

De Souza Barbosa, R., Silva do Vale, R., Schwartz, G., Rocha Martins, W. B., Santos Ribeiro, S., De Matos Rodrigues, J. I., Costa Ferreira, G., & Moreira Barbosa, V. (2022). Restoration of degraded areas after bauxite mining in the eastern Amazon: which method to apply? Ecological Engineering, 180, Article 106639. https://doi.org/10.1016/j.ecoleng.2022.106639

Delgado Vargas, I. A., Ballesteros Possú, W., & Arellano Chungana, V. (2022). Agrobiodiversidad de leñosas multipropósito en sistemas productivos cafeteros. Revista de Investigación Agraria y Ambiental, 13(2), 67-80. https://doi.org/10.22490/21456453.4741

Durigan, G., Franco, G. A. D. C., Saito, M., & Baitello, J. B. (2000). Estrutura e diversidade do componente arbóreo da floresta na Estação Ecológica dos Caetetus, Gália, SP. Revista Brasileira de Botânica, 23(4), 371–383. https://doi.org/10.1590/S0100-84042000000400003

Encalada Córdova, M., Soto Carreño, F., & Morales Guevara, D. (2016). Crecimiento de posturas de cafeto (Coffea arabica L.) con cuatro niveles de sombra en dos condiciones edafoclimáticas de Ecuador. Cultivos Tropicales, 37(2), 72–78. http://dx.doi.org/10.13140/RG.2.1.4335.7681

García Mayoral, L. E., Valdez Hernández, J. I., Luna Cavazos, M., & López Morgado, R. (2015). Estructura y diversidad arbórea en sistemas agroforestales de café en la Sierra de Atoyac, Veracruz. Madera y Bosques, 21(3), 69–82. https://doi.org/10.21829/myb.2015.213457

Getachew, M., Verheyen, K., Tolassa, K., Tack, A. J. M., Hylander, K., Ayalew, B., Boeckx, P., Landuyt, D., & De Frenne, P. (2023). Effects of shade tree species on soil biogeochemistry and coffee bean quality in plantation coffee. Agriculture, Ecosystems & Environment, 347, Article 108354. https://doi.org/10.1016/j.agee.2023.108354

Gholizadeh, H., Dixon, A. P., Pan, K. H., McMillan, N. A., Hamilton, R. G., Fuhlendorf, S. D., Cavender-Bares, J., & Gamon, J. A. (2022). Using airborne and DESIS imaging spectroscopy to map plant diversity across the largest contiguous tract of tallgrass prairie on earth. Remote Sensing of Environment, 281, Article 113254. https://doi.org/10.1016/j.rse.2022.113254

Golicz, K., Bellingrath-Kimura, S., Breuer, L., & Wartenberg, A. C. (2022). Carbon accounting in European agroforestry systems – key research gaps and data needs. Current Research in Environmental Sustainability, 4, Article 100134. https://doi.org/10.1016/j.crsust.2022.100134

Gomes, L. C., Bianchi, F. J. J. A., Cardoso, I. M., Fernandes, R. B. A., Fernandes Filho, E. I., & Schulte, R. P. O. (2020). Agroforestry systems can mitigate the impacts of climate change on coffee production: a spatially explicit assessment in Brazil. Agriculture, Ecosystems & Environment, 294, Article 106858. https://doi.org/10.1016/j.agee.2020.106858

Granados Montero, M. M. (2015). Estudio de la epidemiología y alternativas de manejo agroecológico del ojo de gallo (Mycena citricolor) en cafeto bajo sistemas agroforestales en Costa Rica [Tesis doctoral, Universidad de Costa Rica]. Sistema de Bibliotecas de la Universidad de Costa Rica. https://agritrop.cirad.fr/580115/1/TESIS_MILAGRO_GRANADOS_Mycena_citricolor.pdf

Gregorius, H. R., & Gillet, E. M. (2008). Generalized Simpson-diversity. Ecological Modelling, 211(1–2), 90–96. https://doi.org/10.1016/j.ecolmodel.2007.08.026

Higuchi, N., dos Santos, J., Ribeiro, R. J., Minette, L., & Biot, Y. (1998). Biomassa da parte aérea da vegetação da Floresta Tropical úmida de terra-firme da Amazônia Brasileira. Acta Amazonica, 28(2), 153–153. https://doi.org/10.1590/1809-43921998282166

Jaramillo Díaz, N., Aguirre Mendoza, Z., & Yaguana Puglla, C. (2018). Componente florístico del bosque seco, sector Bramaderos, parroquia Guachanama, cantón Paltas, suroccidente de la provincia de Loja, Ecuador. Arnaldoa, 25(1), 87–104. http://doi.org/10.22497/arnaldoa.251.25105

Jezeer, R. E., Santos, M. J., Verweij, P. A., Boot, R. G. A., & Clough, Y. (2019). Benefits for multiple ecosystem services in Peruvian coffee agroforestry systems without reducing yield. Ecosystem Services, 40, Article 101033. https://doi.org/10.1016/j.ecoser.2019.101033

Kindt, R., & Coe, R. (2010). Tree diversity analysis. A manual and software for common statistical methods for ecological and biodiversity studies. World Agroforestry Centre.

Kletty, F., Rozan, A., & Habold, C. (2023). Biodiversity in temperate silvoarable systems: a systematic review. Agriculture, Ecosystems & Environment, 351, Article 108480. https://doi.org/10.1016/j.agee.2023.108480

Lalani, B., Lanza, G., Leiva, B., Mercado, L., & Haggar, J. (2024). Shade versus intensification: trade-off or synergy for profitability in coffee agroforestry systems? Agricultural Systems, 214, Article 103814. https://doi.org/10.1016/j.agsy.2023.103814

Lara-Estrada, L., Rasche, L., & Schneider, U. A. (2023). Exploring the cooling effect of shading for climate change adaptation in coffee areas. Climate Risk Management, 42, Article 100562. https://doi.org/10.1016/j.crm.2023.100562

Lasco, R. D., Delfino, R. J. P., Catacutan, D. C., Simelton, E. S., & Wilson, D. M. (2014). Climate risk adaptation by smallholder farmers: the roles of trees and agroforestry. Current Opinion in Environmental Sustainability, 6, 83–88. https://doi.org/10.1016/j.cosust.2013.11.013

Lokonon, B. E., Gbemavo, C. D. S. J., Sodote, F. E., Manda, L., Glèlè Kakaï, R., & Sinsin, B. (2022). Effect of provenance on population structure and regeneration of six multiple-use tree species along Ouémé catchment in Benin: Implications for conservation. Trees, Forests and People, 7, Article 100206. https://doi.org/10.1016/j.tfp.2022.100206

López-Bravo, D. F., Virginio-Filho, E. de M., & Avelino, J. (2012). Shade is conducive to coffee rust as compared to full sun exposure under standardized fruit load conditions. Crop Protection, 38, 21–29. https://doi.org/10.1016/j.cropro.2012.03.011

López-Ferrer, U. del C., Brito-Vega, H., López-Morales, D., Salaya-Domínguez, J. M., & Gómez-Méndez, E. (2017). Papel de Trichoderma en los sistemas agroforestales-cacaotal como un agente antagónico. Tropical and Subtropical Agroecosystems, 20(1), 91–100. http://dx.doi.org/10.56369/tsaes.2278

Luedeling, E., Kindt, R., Huth, N. I., & Koenig, K. (2014). Agroforestry systems in a changing climate — challenges in projecting future performance. Current Opinion in Environmental Sustainability, 6, 1–7. https://doi.org/10.1016/j.cosust.2013.07.013

Macedo Pezzopane, J. R., De Souza, P. S., De Souza Rolim, G., & Boller Gallo, P. (2011). Microclimate in coffee plantation grown under grevillea trees shading. Acta Scientiarum. Agronomy, 33(2), 201–206. https://doi.org/10.4025/actasciagron.v33i2.7065

Marín-Garza, T., Gómez-Merino, F. C., Aguilar-Rivera, N., Murguía-González, J., Trejo-Téllez, L. I., Pastelín-Solano, M. C., & Castañeda-Castro, O. (2018). Variaciones en área foliar y concentraciones de clorofilas y nutrimentos esenciales en hojas de café robusta (Coffea canephora P.) durante un ciclo anual. Agro Productividad, 11(4), 36–41. https://doi.org/10.32854/agrop.v11i4.266

Merle, I., Villarreyna-Acuña, R., Ribeyre, F., Roupsard, O., Cilas, C., & Avelino, J. (2022). Microclimate estimation under different coffee-based agroforestry systems using full-sun weather data and shade tree characteristics. European Journal of Agronomy, 132, Article 126396. https://doi.org/10.1016/j.eja.2021.126396

Molla, A. (2015). Effect of tree shade on coffee crop production. Journal of Sustainable Development, 8(9), 66–70. https://doi.org/10.5539/jsd.v8n9p66

Momeni, E., & Antipova, A. (2022). A micro-level analysis of commuting and urban land using the Simpson’s index and socio-demographic factors. Applied Geography, 145, Article 102755. https://doi.org/10.1016/j.apgeog.2022.102755

Morais, H., Henrique Caramori, P., Maria de Arruda Ribeiro, A., Carlos Gomes, J., & Sei Koguishi, M. (2006). Microclimatic characterization and productivity of coffee plants grown under shade of pigeon pea in Southern Brazil. Pesquisa Agropecuária Brasileira, 41(5), 763–770. https://doi.org/10.1590/S0100-204X2006000500007

Nyaruai, M. A., Musingi, J. K., & Wambua, B. N. (2018). The potential of agroforestry as an adaptation strategy to mitigate the impacts of climate change: a case study of Kiine Community, Kenya. Nusantara Bioscience, 10(3), 170–177. https://doi.org/10.13057/nusbiosci/n100307

Oduniyi, O. S., & Tekana, S. S. (2019). Adoption of agroforestry practices and climate change mitigation strategies in North West province of South Africa. International Journal of Climate Change Strategies and Management, 11(5), 716–729. https://doi.org/10.1108/IJCCSM-02-2019-0009

Parray, S. Y., Koul, B., & Shah, M. P. (2021). Comparative assessment of dominant macrophytes and limnological parameters of Dal Lake and Chatlam wetlands in the Union territory of Jammu & Kashmir, India. Environmental Technology & Innovation, 24, Article 101978. https://doi.org/10.1016/j.eti.2021.101978

Pereira Coltri, P., Silveira Pinto, H., Ribeiro do Valle Gonçalves, R., Zullo Junior, J., & Dubreuil, V. (2019). Low levels of shade and climate change adaptation of Arabica coffee in southeastern Brazil. Heliyon, 5(2), Article e01263. https://doi.org/10.1016/j.heliyon.2019.e01263

Quandt, A., Neufeldt, H., & McCabe, J. T. (2019). Building livelihood resilience: what role does agroforestry play? Climate and Development, 11(6), 485–500. https://doi.org/10.1080/17565529.2018.1447903

R Core Team. (2020). A language and environment for statistical computing. R Foundation for Statistical Computing. https://www.r-project.org/

Rapidel, B., Ripoche, A., Allinne, C., Metay, A., Deheuvels, O., Lamanda, N., Blazy, J.-M., Valdés-Gómez, H., & Gary, C. (2015). Analysis of ecosystem services trade-offs to design agroecosystems with perennial crops. Agronomy for Sustainable Development, 35, 1373–1390. https://doi.org/10.1007/s13593-015-0317-y

Rigal, C., Xu, J., Hu, G., Qiu, M., & Vaast, P. (2020). Coffee production during the transition period from monoculture to agroforestry systems in near optimal growing conditions, in Yunnan Province. Agricultural Systems, 177, Article 102696. https://doi.org/10.1016/j.agsy.2019.102696

Román Miranda, M. L., Mora Santacruz, A., & González Cueva, A. G. (2016). Sistemas agroforestales con especies de importancia maderable y no maderable, en el trópico seco de México. Avances en Investigación Agropecuaria, 20(2), 53-69. https://www.redalyc.org/journal/837/83754343006/83754343006.pdf

Rosenstock, T. S., Dawson, I. K., Aynekulu, E., Chomba, S., Degrande, A., Fornace, K., Jamnadass, R., Kimaro, A., Kindt, R., Lamanna, C., Malesu, M., Mausch, K., McMullin, S., Murage, P., Namoi, N., Njenga, M., Nyoka, I., Paez Valencia, A. M., Sola, P., … Steward, P. (2019). A planetary health perspective on agroforestry in Sub-Saharan Africa. One Earth, 1(3), 330–344. https://doi.org/10.1016/j.oneear.2019.10.017

Roy, D., Sarker, S., Mustari, S., Roy, K., Khan, M. A. R., & Latifa, G. A. (2022). Exploration of fishing activities, fish species assemblage and diversity status of the largest wetland (Arial Beel) near the capital city in Bangladesh: Implications and conservation. Acta Ecologica Sinica, 42(3), 243–253. https://doi.org/10.1016/j.chnaes.2022.03.004

Sarmiento-Soler, A., Rötter, R. P., Hoffmann, M. P., Jassogne, L., Van Asten, P., Graefe, S., & Vaast, P. (2022). Disentangling effects of altitude and shade cover on coffee fruit dynamics and vegetative growth in smallholder coffee systems. Agriculture, Ecosystems & Environment, 326, Article 107786. https://doi.org/10.1016/j.agee.2021.107786

Siles, P., Harmand, J. M., & Vaast, P. (2010). Effects of Inga densiflora on the microclimate of coffee (Coffea arabica L.) and overall biomass under optimal growing conditions in Costa Rica. Agroforestry Systems, 78(3), 269–286. https://doi.org/10.1007/s10457-009-9241-y

Sofi, I. I., Zargar, S. A., Ganie, A. H., & Shah, M. A. (2022). Distribution dynamics of Arnebia euchroma (Royle) I.M.Johnst. and associated plant communities in Trans-Himalayan Ladakh region in relation to local livelihoods under climate change. Trees, Forests and People, 7, Article 100213. https://doi.org/10.1016/j.tfp.2022.100213

Solomon, T., Derero, A., & Lemenih, M. (2022). Woody species regeneration through exclosure and perception of local community on mountain Damota, Wolaita, Ethiopia. Trees, Forests and People, 8, Article 100234. https://doi.org/10.1016/j.tfp.2022.100234

Soto-Pinto, L., Perfecto, I., Castillo-Hernandez, J., & Caballero-Nieto, J. (2000). Shade effect on coffee production at the northern Tzeltal zone of the state of Chiapas, Mexico. Agriculture, Ecosystems & Environment, 80(1–2), 61–69. https://doi.org/10.1016/S0167-8809(00)00134-1

Steinfeld, J. P., Miatton, M., Creamer, R. E., Ehbrecht, M., Valencia, V., Ballester, M. V. R., & Bianchi, F. J. J. A. (2024). Identifying agroforestry characteristics for enhanced nutrient cycling potential in Brazil. Agriculture, Ecosystems & Environment, 362, Article 108828. https://doi.org/10.1016/j.agee.2023.108828

Strong, W. L. (2016). Biased richness and evenness relationships within Shannon-Wiener index values. Ecological Indicators, 67, 703–713. https://doi.org/10.1016/j.ecolind.2016.03.043

Suarez, A., & Gwozdz, W. (2023). On the relation between monocultures and ecosystem services in the Global South: a review. Biological Conservation, 278, Article 109870. https://doi.org/10.1016/j.biocon.2022.109870

Subburayalu, S., & Sydnor, T. D. (2012). Assessing street tree diversity in four Ohio communities using the weighted Simpson index. Landscape and Urban Planning, 106(1), 44–50. https://doi.org/10.1016/j.landurbplan.2012.02.004

Tilinti, B., Negash, M., Asfaw, Z., & Woldeamanuel, T. (2025). Variations in carbon stocks across traditional and improved agroforestry in reference to agroforestry and households’ characteristics in Southeastern Ethiopia. Heliyon, 11(2), Article e42127. https://doi.org/10.1016/j.heliyon.2025.e42127

Toledo, V. M., & Moguel, P. (2012). Coffee and sustainability: the multiple values of traditional shaded coffee. Journal of Sustainable Agriculture, 36(3), 353–377. https://doi.org/10.1080/10440046.2011.583719

Tschora, H., & Cherubini, F. (2020). Co-benefits and trade-offs of agroforestry for climate change mitigation and other sustainability goals in West Africa. Global Ecology and Conservation, 22, Article e00919. https://doi.org/10.1016/j.gecco.2020.e00919

Villarreyna, R. A., Avelino, J., & Cerda, R. (2020). Adaptación basada en ecosistemas: efecto de los árboles de sombra sobre servicios ecosistémicos en cafetales. Agronomía Mesoamericana, 31(2), 499–516. https://doi.org/10.15517/am.v31i2.37591

Villavicencio-Enríquez, L. (2013). Caracterización agroforestal en sistemas de café tradicional y rústico, en San Miguel, Veracruz, México. Revista Chapingo. Serie Ciencias Forestales y del Ambiente, 19(1), 67-80. https://doi.org/10.5154/r.rchscfa.2010.08.051

Virginio Filho, E. D. M., Caicedo Vargas, C. E., & Astorga Domian, C. (2014). Agroforestería sostenible en la Amazonía ecuatoriana: fragilidad de los suelos en la Amazonía ecuatoriana y potenciales alternativas agroforestales para el manejo sostenible. Instituto Nacional de Investigaciones Agropecuarias.

Wang, X., Shen, L., Liu, T., Wei, W., Zhang, S., Li, L., & Zhang, W. (2022). Microclimate, yield, and income of a jujube–cotton agroforestry system in Xinjiang, China. Industrial Crops and Products, 182(221), Article 114941. https://doi.org/10.1016/j.indcrop.2022.114941

Yahya, M. S., Atikah, S. N., Mukri, I., Sanusi, R., Norhisham, A. R., & Azhar, B. (2022). Agroforestry orchards support greater avian biodiversity than monoculture oil palm and rubber tree plantations. Forest Ecology and Management, 513, Article 120177. https://doi.org/10.1016/j.foreco.2022.120177

Yemata, G., & Haregewoien, G. (2022). Floristic composition, structure and regeneration status of woody plant species in Northwest Ethiopia. Trees, Forests and People, 9, Article 100291. https://doi.org/10.1016/j.tfp.2022.100291

Zapata Arango, P. C., Andrade Castañeda, H. J., & Nieto Abril, A. K. (2017). Comportamiento ecofisiológico del cafeto (Coffea arabica L.) CV. Castillo en sistemas agroforestales de Tibacuy, Cundinamarca. Revista U.D.C.A Actualidad & Divulgación Científica, 20(2), 61–70. https://doi.org/10.31910/rudca.v20.n1.2017.63

Zignol, F., Kjellström, E., Hylander, K., Ayalew, B., Zewdie, B., Rodríguez-Gijón, A., & Tack, A. J. M. (2023). The understory microclimate in agroforestry now and in the future – a case study of Arabica coffee in its native range. Agricultural and Forest Meteorology, 340, Article 109586. https://doi.org/10.1016/j.agrformet.2023.109586

Licencia de Creative Commons
Esta obra está bajo una licencia de Creative Commons Reconocimiento-NoComercial-SinObraDerivada 4.0 Internacional.
Puede hallar permisos más allá de los concedidos con esta licencia en pccmca@gmail.com