Agronomía Mesoamericana
Artículo científico
Volumen 35: Artículo 55297, 2024
e-ISSN 2215-3608, https://doi.org/10.15517/am.2024.55297
https://revistas.ucr.ac.cr/index.php/agromeso/index
Daneri Jasael Pineda Nataren1, Elder Leonel Videz1, Byron Flores Somarriba2,3
* Recepción: 8 de junio, 2023. Aceptación: 28 de septiembre, 2023. Este trabajo formó parte de la tesis de maestría de los dos primeros autores. Maestría en Salud Animal, Universidad Nacional Francisco Luis Espinoza (UNFLEP).
1 Universidad Nacional Francisco Luis Espinoza Pineda. Estelí, Nicaragua. pinedajasael2014@gmail.com (https://orcid.org/0009-0001-9637-8889); videzelder@yahoo.com (https://orcid.org/0009-0001-7856-8283).
2 Universidad Nacional Agricultura, Facultad de Medicina Veterinaria y Zootecnia, Departamento de Morfología. Catacamas-Olancho, Honduras. byronfloressomarriba@gmail.com
3 Universidad Internacional Antonio de Valdivieso. Rivas, Nicaragua (autor para correspondencia, https://orcid.org/0000-0002-1932-3227).
Introducción. La apicultura en Honduras es una actividad importante para el sector pecuario, amenazada por la presencia de plagas y enfermedades que afectan su desarrollo y producción. Objetivo. Determinar la carga parasitaria de Varroa destructor y Vairimorpha (Nosema) spp. asociadas al comportamiento higiénico, productividad y presencia de otras plagas en colmenas de Apis mellifera en el municipio de Tomalá, departamento de Lempira, Honduras. Materiales y métodos. Se realizó un estudio en 57 muestras de colmenas de 19 apiarios, para determinar la tasa de infestación de V. destructor. La tasa media de infección de Vairimorpha spp., se determinó mediante el método de Cantwell. Además, se determinó la asociación entre las cargas parasitarias y la productividad, comportamiento higiénico y presencia de otras plagas, mediante un análisis estratificado según el uso o no de tratamiento contra Varroa spp. La determinación de asociaciones se realizó mediante las pruebas no paramétricas U de Mann Whitney y Kruskal Wallis. Resultados. Las tasas de infestación para V. destructor en fase de dispersión y larval fueron de un 3,48 % y un 6,82 %, respectivamente, el uso de tratamiento químico no mostró asociación con la tasa de infestación de V. destructor en larvas ni en adultos (p≥0,05), la presencia del pequeño escarabajo de las colmenas (PEC), se asoció con una mayor infestación de V. destructor en larvas (p<0,007) en las colmenas sin tratamiento. El rango de infección de Vairimorpha spp. se encontró dentro de la clasificación muy ligera con 5×104 esporas por muestra, la carga de Vairimorpha spp. no mostró asociación con las variables mencionadas (p≥0,05). Conclusión. Los resultados indican que varroasis es una enfermedad de importancia en el municipio de Tomalá, departamento de Lempira, Honduras, asociada con el comportamiento higiénico y la presencia de PEC en las colmenas. Nosemosis presentó una infección muy ligera.
Palabras claves: infestación, abeja africanizada, sanidad animal, ácaros, Centroamérica.
Introduction. Beekeeping in Honduras is an important activity for the livestock sector, threatened by the presence of pests and diseases that affect its development and production. Objective. To determine the parasitic load of Varroa destructor and Vairimorpha (Nosema) spp. associated with hygienic behavior, productivity, and the presence of other pests in Apis mellifera hives in the municipality of Tomalá, Lempira department, Honduras. Materials and Methods. A study was carried out on 57 samples from hives in 19 apiaries to determine the infestation rate of V. destructor. The average infection rate of Vairimorpha spp. was determined using the Cantwell method. Additionally, the association between parasitic loads and productivity, hygienic behavior, and the presence of other pests was determined through a stratified analysis based on whether or not treatment against Varroa spp. was used. Associations were determined using the non-parametric Mann-Whitney U and Kruskal-Wallis tests. Results. The infestation rates for V. destructor in dispersal and larval stages were 3.48 % and 6.82 %, respectively. The use of chemical treatment showed no association with the infestation rate of V. destructor in either larvae or a dults (p≥0.05). The presence of the small hive beetle (SHB) was associated with a higher infestation of V. destructor in larvae (p<0.007) in untreated hives. The infection range of Vairimorpha spp. was classified as very light with 5×104 spores per sample. The Vairimorpha spp. load showed no association with the mentioned variables (p≥0.05). Conclusion. The results indicate that varroosis is a disease of importance in the municipality of Tomalá, Lempira department, Honduras, associated with hygienic behavior and the presence of SHB in the hives. Nosemosis showed a very light infection.
Keywords: infestation, Africanized bee, animal health, mite, Central America.
La apicultura es una actividad económica importante a nivel mundial, ya que la miel y los subproductos derivados de las abejas son comercializados. Además, la demanda de alimentos crece junto con la población humana, lo que lleva a un aumento en la producción vegetal y la apicultura juega un papel fundamental mediante la polinización (Martínez-López et al., 2022). Esta actividad económica representa poco impacto ambiental. En Honduras, durante el período 2016-2019, el valor de las exportaciones de miel de abeja creció un 14,1 % y en términos de volumen se registró a nivel global un crecimiento de 43,4 %, al pasar de 0,47 t en 2016 a 1,39 t en 2019 (Secretaría de Agricultura y Ganadería, 2020).
La varroasis es una parasitosis importante en la apicultura y es causada por el ectoparásito Varroa destructor (Traynor et al., 2020) que es clasificado en dos haplotipos, el Coreano (K) y Japones (J), de estos el haplotipo K ha sido identificado en la región en un estudio realizado en Nicaragua (Düttmann et al., 2021). Este ectoparásito puede generar el colapso de las colmenas al reproducirse en las celdas, donde se alimenta de la hemolinfa de las larvas, o en fase forética, donde se alimenta de los cuerpos grasos de las abejas (Ramsey et al., 2019). La parasitación por V. destructor y las coinfecciones virales asociadas son una de las principales razones de la pérdida de poblaciones de abejas melíferas (Invernizzi Castillo et al., 2022). La infestación de V. destructor se correlaciona de forma negativa con la producción de miel, con una pérdida que puede llegar a ser mayor del 50 % (Emsen et al., 2014).
En este trabajo, se determina la asociación entre la tasa de infestación de V. destructor y el comportamiento higiénico de las colmenas, ya que se ha demostrado que este puede ser un factor de resistencia genética de los programas de cría de abejas al reflejar inmunidad social contra el parásito (Khan & Ghramh, 2021). Otro factor que también puede relacionarse con la tasa de infestación de V. destructor es la presencia de otras plagas como el pequeño escarabajo de las colmenas (PEC) (Salvioni & Champetier, 2022) o la presencia de hormigas (Pusceddu et al., 2021) que pueden debilitar la colmena o modificar el comportamiento social.
La nosemosis se encuentra entre las patologías más comunes que afectan a las abejas melíferas adultas, es causada por los microsporidios Vairimorpha (Nosema) apis y V. (Nosema) ceranae (Botías et al., 2013; Rodríguez-García et al., 2021). La nosemosis puede ser asintomática o puede causar daños importantes (Higes et al., 2008). V. ceranae infecta abejas obreras, induce la maduración temprana de las nodrizas y un desequilibrio en la colmena (Higes et al., 2010). Cuando la reina puede producir suficiente descendencia para compensar la pérdida de obreras la infección puede ser asintomática, pero cuando más del 80 % de las abejas están infectadas con más de 10 millones de esporas, se produce el colapso, ya que, la reina no puede producir suficientes huevos y se reduce el número de abejas nodrizas y recolectoras (Higes et al., 2008).
Honduras ya ha tenido antecedentes de afectación por varrosis, en 2019 en los apiarios del municipio de Tomalá se observó una alta mortalidad de abejas en las piqueras, lo que conllevó a realizar visitas para la recolección de muestras y la aplicación de Tau-fluvalinato en algunos apiarios de la zona, sin embargo, los muestreos deben realizarse de forma periódica para garantizar una vigilancia oportuna, por tal motivo, el objetivo de este estudio fue determinar la carga parasitaria de V. destructor y V. (Nosema) spp. asociados al comportamiento higiénico, productividad y presencia de otras plagas en colmenas de Apis mellifera en el municipio de Tomalá, departamento de Lempira, Honduras.
La investigación se realizó en apiarios (A. mellifera) de productores del municipio de Tomalá, departamento de Lempira en la zona Occidental de Honduras, su altitud oscila entre los 600 y 1800 m s. n. m., con una superficie de terreno irregular (Municipalidad de Tomalá, 2014). Hay dos estaciones climáticas al año: una época seca que inicia en noviembre y termina en mayo, una época lluviosa que inicia en junio y termina en octubre (Instituto Nacional de Estadística, 2018).
Las muestras fueron recolectadas en el 2021, entre los meses de julio a septiembre, que corresponde al periodo de postcosecha, con una menor floración y mayor parasitosis. En el Municipio de Tomalá, se contabilizaron 311 colmenas de abejas africanizadas, las que se encuentran distribuidas en diecinueve apiarios con igual número de apicultores. Para el cálculo del tamaño de la muestra se tomaron tres colmenas aleatorias de cada uno de los diecinueve apiarios, para un total de 57 colmenas, lo que representa 18,32 % de las colmenas del municipio de Tomalá, esto es acorde con la recomendación descrita en el manual de enfermedades apícolas publicado por Instituto Interamericano de Cooperación para la Agricultura (2009), que sugiere incluir entre el 15 % y el 20 % de las colmenas para una muestra representativa en estudios de Varroa spp.
De cada apiario, se recolectó información relacionada con el manejo de las colmenas mediante una ficha de recolección de datos, que se completó en el momento del muestreo por observación directa y preguntas dirigidas al apicultor. Dentro de las variables evaluadas, se incluyeron la producción de miel anual (kg/colmena), la presencia de otras plagas (hormigas y PEC), alimentación artificial y aplicación de productos químicos (Tau-fluvalinato) para tratar V. destructor.
Para la determinación de la tasa de infestación de V. destructor en larvas de abejas, se seleccionó un panal de la colmena, este debía presentar el mayor porcentaje de cría operculada. Con una pinza, se sacaron las crías de las celdas para cuantificar las larvas afectadas y no afectadas. La tasa de infestación en larva se determinó mediante la ecuación 1, según Fuchs (1990).
(1)
Para la determinación de la tasa de infección de V. destructor en abejas adultas se utilizó el protocolo descrito por De Jong et al. (1982), para esto, se procedió a escoger un marco con alta cantidad de abeja adulta en ambos lados, se revisó para evitar presencia de abeja reina. En un frasco vacío ya identificado, se colectaron abejas pasándolo de arriba hacia abajo en cada panal para permitir la entrada de las abejas, se cerró, se agitó y repitió el procedimiento hasta obtener entre 200 a 300 abejas, se guardaron a temperatura ambiente para su análisis antes de las 2 h (Buawangpong et al., 2015). Una vez retirados del apiario, se procedió al conteo, para ello se utilizaron dos adaptadores de cuatro pulgadas PVC (un conector con rosca externa y otro con rosca interna) y una tela fina que se colocó entre las enroscaduras de los conectores. Se agregó detergente líquido y se procedió a lavar grupos de abejas sobre la tela, luego se contaron las abejas y los ácaros de V. destructor encontradas en la muestra, para calcular la tasa de infestación mediante la ecuación 2, según Valladares et al. (2015).
(2)
La determinación de V. (Nosema) spp. se llevó a cabo de acuerdo con el procedimiento recomendado por la Organización Mundial de Sanidad Animal (OMSA), según Duquesne et al. (2021), para detectar y evaluar la tasa media de infección de esporas con base en microscopía. Se trituraron los abdómenes de 60 abejas con un mortero en agua ultrapura a razón de 1 mL por abeja. La suspensión se filtró a través de dos capas de muselina y se centrifugaron durante seis minutos para eliminar los desechos grandes y para purificar las esporas. Luego, los gránulos se resuspendieron en una suspensión homogénea para restaurar la dilución inicial de 1 mL por abeja. Las muestras se colocaron en un hemocitómetro calibrado (cámara de conteo de Malassez) y se realizó el examen microscópico para contar las esporas (Duquesne et al., 2021).
Para la determinación del comportamiento higiénico (CP), se aplicó la prueba de punción (P), con un alfiler entomológico fueron puncionadas y sacrificadas 100 pupas en celdas alineadas a nivel horizontal o en cuadro de diez por diez pupas sobre el panal seleccionado por cada colmena. Para la medición del grado de CP, se consideró como higiénica cuando en una colmena se eliminaron el 80 % o más de las crías muertas en 24 h. Para determinar el porcentaje de comportamiento higiénico, se utilizó la ecuación 3, descrita por Newton & Ostasiewski (1986).
(3)
Se realizó un análisis descriptivo de los datos, con medidas de tendencia central y prueba de Shapiro Wilk.Dado que no se observó normalidad, se aplicó la mediana de la tasa de infestación de V. destructor y carga parasitaria de Vairimorpha spp., mientras que para determinar su asociación con el comportamiento higiénico y producción de miel se aplicó un análisis de correlación de Spearman. Para búsqueda de asociación con variables independientes categóricas se aplicaron las pruebas no paramétricas como U de Mann Whitney o Kruskal Wallis. Las pruebas estadísticas para la determinación de asociación fueron realizadas en colmenas con y sin antecedentes de tratamiento de forma independiente. Los datos fueron almacenados y analizados en el paquete estadístico para las ciencias sociales (SPSS) versión 25.
La tasa de infestación para V. destructor en fase de dispersión y larval fueron de un 3,48 % y un 6,82 %, respectivamente, el antecedente de aplicación de tratamiento químico no mostró asociación con la tasa de infestación de V. destructor en larvas ni en adultos (p≥0,05). La mediana para la infestación de V. destructor en su fase larval fue de 7,06 % en colmenas que no había recibido tratamiento contra V. destructor, un valor similar (p≥0,05) a la infestación de 6,52 % observada en las que sí habían recibido tratamiento. Mientras que la infestación en fase de dispersión fue de un 2,94 % en colmenas que no recibieron tratamiento, similar al 4,88 % observado en colmenas tratadas (p≥0,05) (Cuadro 1). La mediana de valores obtenidos para Vairimorpha spp. fue de 50 000 (IC 95 % 10 000-260 000) esporas por muestra.
Cuadro 1. Tasa de infestación para Varroa destructor en Apis mellifera de apiarios de Municipio de Tomalá, Honduras. 2021.
Table 1. Infestation rate for Varroa destructor in Apis mellifera from apiaries in the Municipality of Tomalá, Honduras. 2021.
Los valores de significancia de Shapiro Wilk para la carga de Vairimorpha spp., V. destructor en fase larval y de dispersión, fueron menores que 0,05, lo que indica una distribución no paramétrica. La prueba de Kruskal Wallis reveló que en las colmenas que habían recibido tratamiento contra V. destructor, la presencia de plagas como hormigas y PEC no se asociaron con la infestación de V. destructor en abejas adultas ni con la cantidad de esporas de Vairimorpha spp. (p≥0,05), pero en las colmenas que no habían recibido tratamiento y con presencia de PEC la mediana de la infestación de V. destructor en larvas fue de 9,80 %, un valor significativamente mayor al 7,23 % observado en las que las colmenas con hormigas y que el 2,04 % en colmenas sin otra plaga (p<0,05), esta asociación no fue encontrada en colmenas que habían recibido tratamiento químico contra V. destructor (Figura 1).
Figura 1. Tasa de infestación de Varroa destructor en larvas de Apis mellifera de acuerdo con la presencia de plagas en colmenas de Tomalá, Honduras. 2021.
PEC: pequeño escarabajo de las colmenas.
Figure 1. Infestation rate of Varroa destructor in Apis mellifera larvae in Tomalá hives according to pest presence, Honduras. 2021.
PEC: The small hive beetle.
No encontró asociación de la variable alimentación con tasa de infestación de V. destructor en larvas, ni con la carga de Vairimorpha spp. (p≥0,05) independiente de la aplicación previa del tratamiento, sin embargo, dentro de las colmenas que no habían recibido tratamiento, se encontró que la tasa infestación de V. destructor en adultas que no recibían alimentación fue de un 4,15 %, un valor más elevado al 1,37 % en las colmenas que reciben alimentación artificial (p=0,010), esta asociación no fue observada en colmenas que habían recibido tratamiento previo con V. destructor (Figura 2).
Figura 2. Tasa de infestación de Varroa destructor en adultas de Apis mellifera de acuerdo con la práctica de realizar alimentación artificial en colmenas de Tomalá, Honduras. 2021.
Figure 2. Varroa destructor infestation rate in Apis mellifera adults according to the practice of artificial feeding in hives in Tomalá, Honduras. 2021.
La producción de miel no mostró asociación (p≥0,05) con la tasa de infestación en larvas ni en abejas adultas, independiente de la aplicación previa de tratamiento (Cuadro 2), además, no se observó asociación entre la carga parasitaria de Vairimorpha spp. y la producción de miel (p≥0,05).
Cuadro 2. Correlación de Spearman entre la tasa de infestación de Varroa destructor en Apis mellifera y la producción de miel en de apiarios de Municipio de Tomalá, Honduras. 2021.
Table 2. Spearman correlation between the infestation rate of Varroa destructor in Apis mellifera and honey production in apiaries in the Municipality of Tomalá, Honduras. 2021.
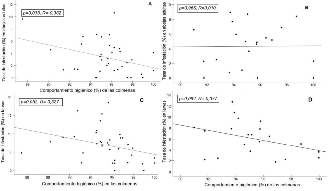
En colmenas que habían recibido tratamiento, se encontró que el comportamiento higiénico mostró una débil pero significativa correlación negativa con la tasa de infestación de V. destructor en abejas adultas, (R=-0,352, p=0,035), mientras que, en las colmenas que había recibido tratamiento el comportamiento higiénico no mostró correlación con la tasa de infestación en abejas adultas (R=0,010, p=0,966). En larvas se encontró una débil correlación entre el comportamiento higiénico y la tasa de infestación de V. destructor en colmenas tratadas y no tratadas, aunque no fue significativa (p≥0,05) (Figura 3).
Figura 3. Correlación del comportamiento higiénico de las colmenas con la tasa de infestación de V. destructor en abejas (Apis mellifera) adultas en colmenas no tratadas (A), la tasa de infestación de V. destructor en abejas adultas en colmenas tratadas (B), la tasa de infestación de V. destructor en larvas de colmenas no tratadas (C), la tasa de infestación de V. destructor en larvas de colmenas tratadas (D). Tomalá, Honduras. 2021.
Figure 3. Correlation of hygienic behavior of the hives with the infestation rate of V. destructor in adult bees in Untreated hives (A), the infestation rate of V. destructor in adult bees in treated hives (B), the rate of V. destructor infestation in larvae from Untreated hives (C), the infestation rate of V. destructor in larvae from treated hives (D). Tomala, Honduras. 2021.
La tasa de infestación de V. destructor en abejas adultas fue mayor del 5 % pero menor del 10 %, esto las clasifica dentro de un rango moderado de infestación pero que requiere de la aplicación de tratamiento para el control de este ácaro (Sanabria et al., 2015). Sin embargo, no se observó diferencia significativa entre las tasas de infestación de V. destructor en adultos y larvas entre colmenas tratadas y no tratadas con Tau-fluvalinato, lo que sugiere una resistencia del ácaro o un inadecuado protocolo de aplicación. El uso de Tau-fluvalinato se consideraba efectivo en tratamiento contra V. destructor, pero el uso indiscriminado en la aplicación de este producto ha generado la aparición de resistencia, incluso se observa resistencia cruzada entre los productos a base de piretroides asociada a una mutación por sustitución de leucina a valina en la posición 925 (L925V) del canal de sodio dependiente (González-Cabrera et al., 2016).
En el municipio de Tomalá en el 2019, se reportó una alta mortalidad en abejas, sin embargo, la varroasis en Honduras nunca ha provocado un problema sanitario grave, y es probable que se asocie con la ausencia de enfermedades virales. La tasa de infestación encontrada en abejas adultas en este estudio es mayor a la observada en países vecinos a Honduras, como es el caso de Nicaragua, donde se reportaron tasas de infestación cercanas al 3 % para el periodo del 2009 al 2015 (Osejo Uriarte, 2016), mientras que otro estudio en ese mismo país reporta una infestación nacional de 4,3 % para el periodo del 2012 al 2016 (Düttmann et al., 2021). Los valores elevados en la tasa de infestación V. destructor en las colmenas son un indicativo de la deficiencia en el manejo de los apiarios.Como lo refleja un estudio realizado en Cuba, en el que encontraron una tasa de infestación medio (5,01-10,00 %) en las colmenas que no habían recibido algún tratamiento contra el ácaro (Sanabria et al., 2015).
En este estudio, se encontró que en colmenas que no habían recibido tratamiento, la tasa de infestación de V. destructor en larvas fue mayor cuando tenían presencia de PEC en comparación a las que no presentaron plagas (Figura 1), otros estudios han mostrado que infestación por V. destructor puede facilitar la entrada de otros parásitos, como se encontró en un estudio en Madagascar, en el que observó que el PEC sólo estuvo presente en colmenas con V. destructor, porque los ácaros podrían reducir el sistema inmunológico innato de las abejas, lo que hace que las colonias infestadas de ácaros sean más vulnerables a otros patógenos, sin embargo, también es posible que la presencia de PEC facilite la infestación por V. destructor (Rasolofoarivao et al., 2013).
El manejo de las colmenas es fundamental para mantener una baja infestación de V. destructor, una práctica muy común es el suministro de alimento cuando existe poca floración (Mortensen et al., 2019). En este trabajo, se encontró que en colmenas no tratadas la tasa de infestación de V. destructor en abejas adultas fue mayor en aquellas colonias que no recibían alimentación artificial. El objetivo principal de realizar alimentación artificial es evitar la disminución de las colonias de abejas debido a la falta de fuentes de néctar y polen, que les permita mantener la inmunidad frente a los diferentes patógenos (Al-Ghamdi et al., 2021). Además, se ha descrito que la alimentación con azúcar mezclado con materiales vegetales, como la menta, la canela y la manzanilla, pueden ayudar a controlar los patógenos de las abejas, incluidos los ácaros Varroa (Al-Ghamdi et al., 2021). También, se ha evidenciado que la alimentación proteica puede aumentar la esperanza de vida en abejas parasitadas por V. destructor (Annoscia et al., 2017).
Los resultados de correlación entre la tasa de infestación de V. destructor en abejas adultas y el comportamiento higiénico de las colonias que no recibieron tratamiento mostraron una correlación negativa y se ha observado que un alto grado de africanización de las abejas de la región, se relaciona con en su excelente comportamiento higiénico (Calderón et al., 2010). En las abejas melíferas, este comportamiento refleja la inmunidad social contra parásitos y enfermedades. Por lo que, es considerado uno de los principales factores de resistencia genética del programa de cría selectiva de abejas, ya que es una de las formas más prometedoras de reducir la infestación por ácaros Varroa (Khan & Ghramh, 2021).
En este estudio, se encontraron valores bajos en la carga intestinal de Vairimorpha spp., correspondiente a una clasificación muy ligera (1x104-1x106 esporas/abeja), similar a lo encontrado en un estudio realizado en Costa Rica, en el que informan un 26 % de colmenas con una carga muy ligera (y un 18,0 % con una carga ligera (1x106-5x106 esporas/abeja) (Calderón et al., 2019). Aunque se encontraron valores bajos en la carga parasitaria de Vairimorpha spp.
Es recomendable mantener los muestreos periódicos para una correcta vigilancia y la identificación de las especies circulantes, ya que la nosemosis puede ser causada por N. apis que se considera de baja virulencia, pero también puede ser causada por N. ceranea (nosemosis tipo C) con una mayor virulencia y que ha desplazado a N. apis como la causa principal de nosemosis en las abejas melíferas, lo que podría poner en riesgo la supervivencia de A. mellifera en Honduras (Fleites-Ayil et al., 2018; Cueto González et al., 2020).
La varroasis en los apiarios del Municipio de Tomalá presentaron una tasa de infestación en abejas adultas de A. mellifera en el rango de infestación medio (5,01-10,00 %), lo que indica que se requiere la aplicación de medidas para su control como la selección y reproducción de colmenas con alto comportamiento higiénico que se asoció con una baja tasa de infestación. Además, se observó que la alimentación artificial, así como la ausencia de otras plagas, se asoció con una menor infestación. El nivel de infestación para Vairimorpha spp. estuvo en el rango “muy ligero” menor a 100 000 esporas por muestra, la carga parasitaria no se asoció con las variables en estudio, sin embargo, aún se requiere de la identificación de la especie presente en los apiarios de Tomalá.
Al-Ghamdi, A. A., Abou-Shaara, H. F., & Ansari, M. J. (2021). Effects of sugar feeding supplemented with three plant extracts on some parameters of honey bee colonies. Saudi Journal of Biological Sciences, 28(4), 2076–2082. https://doi.org/10.1016/j.sjbs.2021.02.050.
Annoscia, D., Zanni, V., Galbraith, D., Quirici, A., Grozinger, C., Bortolomeazzi, R., & Nazzi, F. (2017). Elucidating the mechanisms underlying the beneficial health effects of dietary pollen on honey bees (Apis mellifera) infested by Varroa mite ectoparasites. Scientific Reports, 7, Article 6258. https://doi.org/10.1038/s41598-017-06488-2.
Botías, C., Martín-Hernández, R., Barrios, L., Meana, A., & Higes, M. (2013). Nosema spp. Infection and its negative effects on honey bees (Apis mellifera iberiensis) at the colony level. Veterinary Research, 44, 25. https://doi.org/10.1186/1297-9716-44-25
Buawangpong, N., de Guzman, L. I., Khongphinitbunjong, K., Frake, A. M., Burgett, M., & Chantawannakul, P. (2015). Prevalence and reproduction of Tropilaelaps mercedesae and Varroa destructor in concurrently infested Apis mellifera colonies. Apidologie, 46, 779–786. https://doi.org/10.1007/s13592-015-0368-8
Calderón, R. A., Padilla, S., & Ramírez, M. (2019). Estudio preliminar sobre la presencia de enfermedades en enjambres de abejas africanizadas (Apis mellifera) en diferentes zonas de Costa Rica. Ciencias Veterinarias, 37(1), 13–25. https://doi.org/10.15359/rcv.37-1.2
Calderón, R. A., van Veen, J. W., Sommeijer, M. J., & Sanchez, L. A. (2010). Reproductive biology of Varroa destructor in Africanized honey bees (Apis mellifera). Experimental & Applied Acarology, 50, 281–297. https://doi.org/10.1007/s10493-009-9325-4
Cueto González, S. A., López Valencia, G., Orozco Cabrera, C., Gómez Gómez, S. D., Moreno Torres, K., Espinoza Blandón, K. O., Guerrero Velázquez, J. G., Silva Paz, L. E., Trasviña Muñoz, E., & Monge Navarro, F. J. (2020). Prevalence and geographical distribution of Nosema apis and Nosema ceranae in apiaries of Northwest Mexico using a duplex real-time PCR with melting-curve analysis. Journal of Apicultural Research, 59(2), 195–203. https://doi.org/10.1080/00218839.2019.1676999
De Jong, D., De Andrea Roma, D., & Gonçalves, L. S. (1982). A comparative analysis of shaking solutions for the detection of Varroa jacobsoni on adult honeybees. Apidologie, 13(3), 297–306. https://doi.org/10.1051/apido:19820308
Duquesne, V., Gastaldi, C., Del Cont, A., Cougoule, N., Bober, A., Brunain, M., Chioveanu, G., Demicoli, N., Paulus, P. D., Somalo, P. F., Filipova, M., Forsgren, E., Granato, A., Gurgulova, K., Heinikainen, S., Kärssin, A., Kinduriene, I., Köglberger, H., Oureilidis, K., … & Franco, S. (2021). An international inter-laboratory study on Nosema spp. Spore detection and quantification through microscopic examination of crushed honey bee abdomens. Journal of Microbiological Methods, 184, Article 106183. https://doi.org/10.1016/j.mimet.2021.106183
Düttmann, C., Flores, B., Sheleby-Elías, J., Castillo, G., Osejo, H., Bermudez, S., & Demedio, J. (2021). Morphotype and haplotype identification of Varroa destructor (Acari: Varroidae), and its importance for apiculture in Nicaragua. Experimental & Applied Acarology, 83, 527–544. https://doi.org/10.1007/s10493-021-00603-9
Emsen, B., Guzman-Novoa, E., & Kelly, P. G. (2014). Honey production of honey bee (Hymenoptera: Apidae) colonies with high and low Varroa destructor (Acari: Varroidae) infestation rates in eastern Canada. The Canadian Entomologist, 146(2), 236–240. https://doi.org/10.4039/tce.2013.68
Fleites-Ayil, F. A., Quezada-Euán, J. J. G., & Medina-Medina, L. A. (2018). Onset of foraging and lifespan of Africanized honey bees (Apis mellifera) infected with different levels of Nosema ceranae spores in Neotropical Mexico. Apidologie, 49, 781–788. https://doi.org/10.1007/s13592-018-0602-2
Fuchs, S. (1990). Preference for drone brood cells by Varroa jacobsoni Oud in colonies of Apis mellifera carnica. Apidologie, 21(3), 193–199. https://doi.org/10.1051/apido:19900304
González-Cabrera, J., Rodríguez-Vargas, S., Davies, T. G. E., Field, L. M., Schmehl, D., Ellis, J. D., Krieger, K., & Williamson, M. S. (2016). Novel mutations in the voltage-gated sodium channel of pyrethroid-resistant Varroa destructor populations from the Southeastern USA. PLoS ONE, 11(5), Article e0155332. https://doi.org/10.1371/journal.pone.0155332
Higes, M., Martín-Hernández, R., Botías, C., Garrido Bailón, E., González-Porto, A. V., Barrios, L., del Nozal, M. J., Bernal, J. L., Jiménez, J. J., García Palencia, P. G., & Meana, A. (2008). How natural infection by Nosema ceranae causes honeybee colony collapse. Environmental Microbiology, 10(10), 2659–2669. https://doi.org/10.1111/j.1462-2920.2008.01687.x
Higes, M., Martín-Hernández, R., Martínez-Salvador, A., Garrido-Bailón, E., González-Porto, A. V., Meana, A., Bernal, J. L., Del Nozal, M. J., & Bernal, J. (2010). A preliminary study of the epidemiological factors related to honey bee colony loss in Spain. Environmental Microbiology Reports, 2(2), 243–250. https://doi.org/10.1111/j.1758-2229.2009.00099.x
Instituto Interamericano de Cooperación para la Agricultura. (2009). Manual de enfermedades apícolas. https://repositorio.iica.int/handle/11324/18967
Instituto Nacional de Estadísticas. (2018). Tomalá, Lempira. http://ine.gob.hn/
Invernizzi Castillo, C., Antúnez, K., Arredondo, D., Branchiccela, B., Castelli, L., Juri, P., Mendoza, Y., Nogueira, E., Salvarrey, S., & Santos, E. (2022). Situación sanitaria de las abejas melíferas en Uruguay: Novedades de la última década. Veterinaria (Montevideo), 58(217), Article e20225821704. https://doi.org/10.29155/vet.58.217.4
Khan, K. A., & Ghramh, H. A. (2021). An investigation of the efficacy of hygienic behavior of various honey bee (Apis mellifera) races toward Varroa destructor (Acari: Varroidae) mite infestation. Journal of King Saud University - Science, 33(3), Article 101393. https://doi.org/10.1016/j.jksus.2021.101393
Martínez-López, V., Ruiz, C., & De la Rúa, P. (2022). “Migratory beekeeping and its influence on the prevalence and dispersal of pathogens to managed and wild bees”. International Journal for Parasitology: Parasites and Wildlife, 18, 184–193. https://doi.org/10.1016/j.ijppaw.2022.05.004
Mortensen, A. N., Jack, C. J., Bustamante, T. A., Schmehl, D. R., & Ellis, J. D. (2019). Effects of Supplemental Pollen Feeding on Honey Bee (Hymenoptera: Apidae) Colony Strength and Nosema spp. Infection. Journal of Economic Entomology, 112(1), 60–66. https://doi.org/10.1093/jee/toy341
Municipalidad de Tomalá. (2014.). Plan de Desarrollo Municipal Tomalá, Lempira 2015-2025. https://www.sgjd.gob.hn/biblioteca-virtual/docspdm/pdm-certificados/lempira-pdm-certificados/1282-pdm-tomala-lempira/file
Newton, D. C., & Ostasiewski, N. J. J. (1986). A simplified bioassay for behavioral resistance to american foulbrood in honey bees. American Bee Journal, 126(4), 278–281
Osejo Uriarte, H. J. (2016). Haplotipos de Varroa destructor relacionados al grado de infestación en colmenas de Apis mellifera de apiarios centinela de Nicaragua, 2015 al 2016 [Tesis de maestría, Universidad Nacional Autónoma de Nicaragua, León]. Repositorio RIUL de la Universidad Nacional Autónoma de Nicaragua, León, http://riul.unanleon.edu.ni:8080/jspui/handle/123456789/6505
Pusceddu, M., Cini, A., Alberti, S., Salaris, E., Theodorou, P., Floris, I., & Satta, A. (2021). Honey bees increase social distancing when facing the ectoparasite Varroa destructor. Science Advances, 7(44), Article eabj1398. https://doi.org/10.1126/sciadv.abj1398
Ramsey, S. D., Ochoa, R., Bauchan, G., Gulbronson, C., Mowery, J. D., Cohen, A., Lim, D., Joklik, J., Cicero, J. M., Ellis, J. D., Hawthorne, D., & vanEngelsdorp, D. (2019). Varroa destructor feeds primarily on honey bee fat body tissue and not hemolymph. Proceedings of the National Academy of Sciences of the United States of America, 116(5), 1792–1801. https://doi.org/10.1073/pnas.1818371116
Rasolofoarivao, H., Clémencet, J., Ravaomanarivo, L. H. R., Razafindrazaka, D., Reynaud, B., & Delatte, H. (2013). Spread and strain determination of Varroa destructor (Acari: Varroidae) in Madagascar since its first report in 2010. Experimental and Applied Acarology, 60, 521–530. https://doi.org/10.1007/s10493-013-9658-x
Rodríguez-García, C., Heerman, M. C., Cook, S. C., Evans, J. D., DeGrandi-Hoffman, G., Banmeke, O., Zhang, Y., Huang, S., Hamilton, M., & Chen, Y. P. (2021). Transferrin-mediated iron sequestration suggests a novel therapeutic strategy for controlling Nosema disease in the honey bee, Apis mellifera. PLoS Pathogens, 17(2), Article e1009270. https://doi.org/10.1371/journal.ppat.1009270
Salvioni, C., & Champetier, A. (2022). A survey of experts’ opinions on the management of the small hive beetle in Italy. Sustainability, 14(12), Article 7004. https://doi.org/10.3390/su14127004
Sanabria, J. L., Demedio, J., Pérez, T., Peñate, I., Rodríguez, D., & Lóriga, W. (2015). Índices de infestación por Varroa destructor en colmenas sin medidas de control. Revista de Salud Animal, 37(2), 118–124. https://censa.edicionescervantes.com/index.php/RSA/article/view/584
Secretaría de Agricultura y Ganadería. (2020). Apícola-Miel. Análisis de Coyuntura. Unidad de Planeamiento y Evaluación de la Gestión (UPEG). https://www.upeg.sag.gob.hn/wp-content/uploads/2021/07/AC-MIEL-V20.2.pdf
Traynor, K. S., Mondet, F., de Miranda, J. R., Techer, M., Kowallik, V., Oddie, M. A. Y., Chantawannakul, P., & McAfee, A. (2020). Varroa destructor: A Complex Parasite, Crippling Honey Bees Worldwide. Trends in Parasitology, 36(7), 592–606. https://doi.org/10.1016/j.pt.2020.04.004
Valladares, A., Perdomo B, R., Lanza, M., Valladares, A., & Lanza., R. P. (2015). Protocolo de técnicas laboratoriales de diagnóstico para enfermedades y plagas apícolas. Organismo Internacional Regional de Sanidad Agropecuaria.
